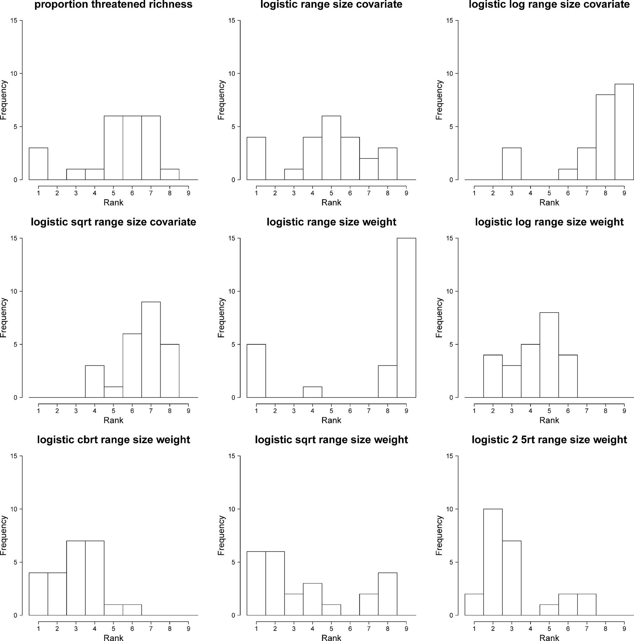
Extended Data Fig. 2
From: Using the IUCN Red List to map threats to terrestrial vertebrates at global scale

Rank frequency distributions for each of the models evaluated against simulated maps of threat intensity with different spatial autocorrelation (SAC) structures, (Low SAC r = 0.3, Medium SAC – r = 0.05, High SAC – r = 1 × 10-4, Very high SAC – r = 1 × 10-6) and uncertainties of knowledge used to generate threat codes (C0.25, C0.5, C0.75, CUncertain-0.25, CUncertain-0.5, CUncertain-0.75).