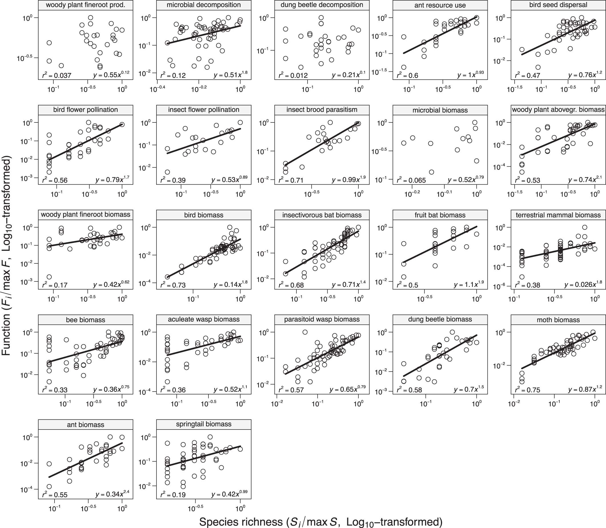
Extended Data Fig. 3: Species richness–ecosystem function relationships across the 22 functions.

All relationships are shown on log–log scales. Regression lines are shown when the relationship is significant at P < 0.05. Note the standardization of values of species richness and ecosystem functions by their observed maxima.