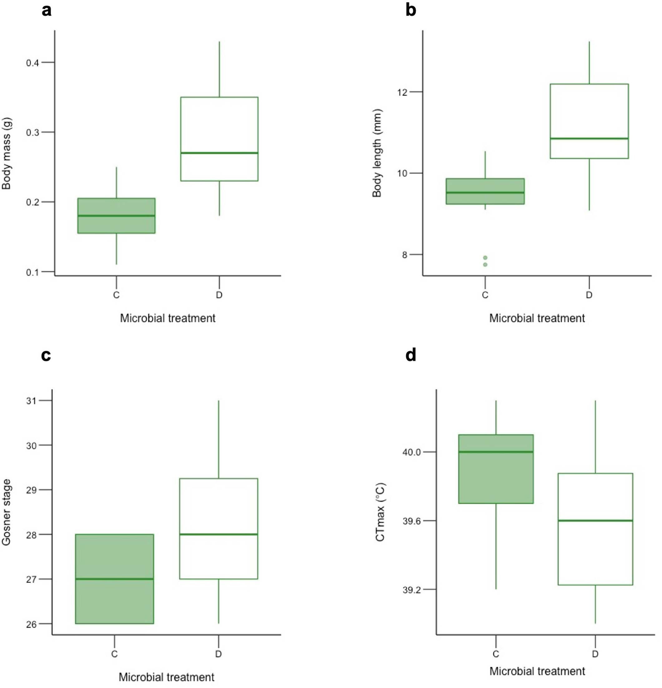
Extended Data Fig. 8: The impact of microbial colonization treatment on tadpole morphometrics and heat tolerance in experiment 2.

a, tadpole body mass b, tadpole body length c, tadpole developmental stage based on the Gosner system d, tadpole critical thermal maximum (CTmax). The center line of each boxplot represents the median, the length of the box extends through the IQR, and whiskers extend to 1.5x IQR. All points outside this range are plotted individually. C = colonized tadpoles and D = depleted tadpoles. For boxplots a and b, N = 19 colonized animals and 21 depleted animals. For boxplot c, N = 19 colonized animals and 20 depleted animals. For boxplot d, N = 17 colonized animals and 18 depleted animals.