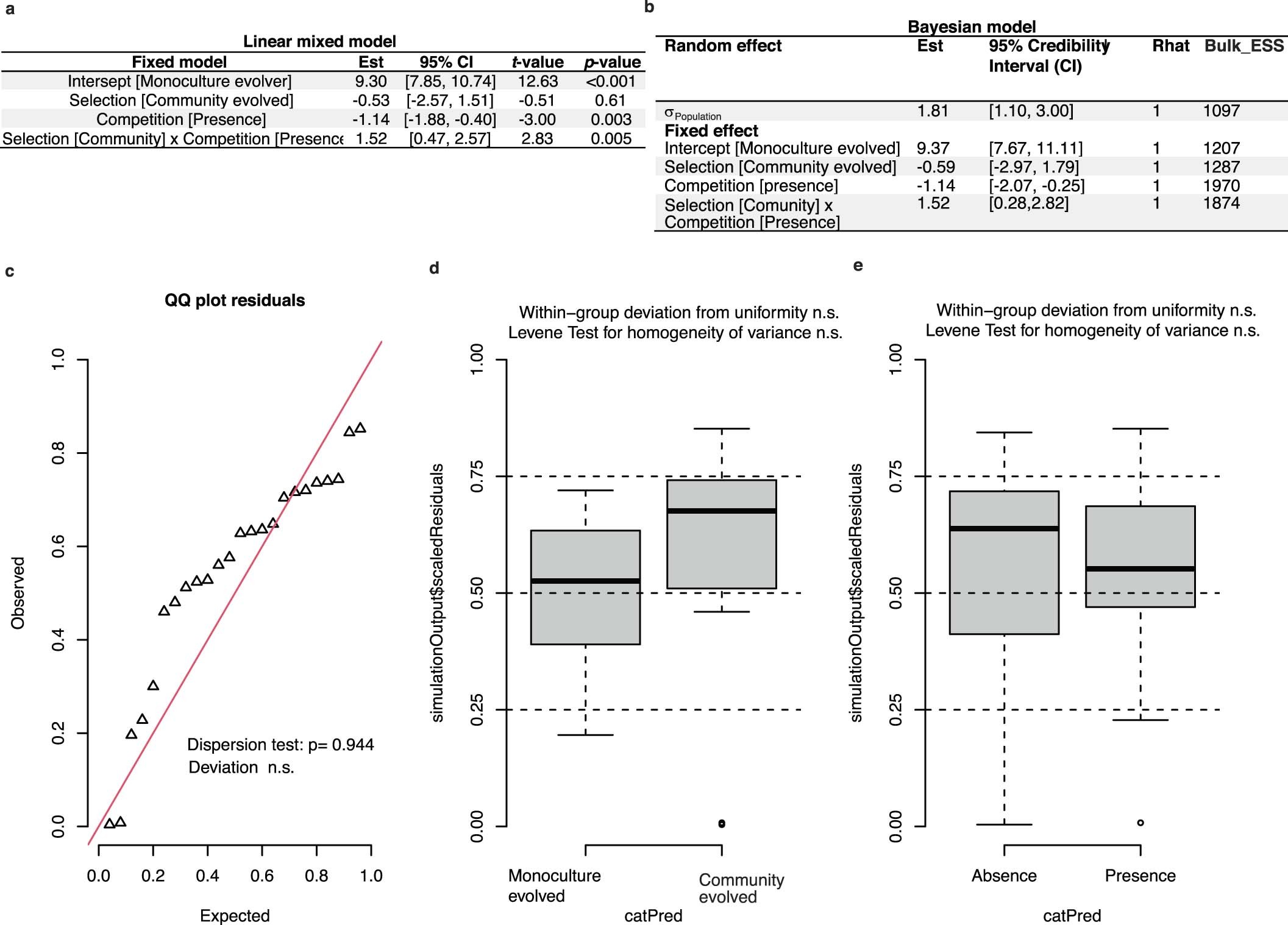
Extended Data Fig. 6: Parameter estimates and diagnostics plots for the fitted LMM testing the presence of a trade-off between biotic versus abiotic adaptation (Fig. 1b in main text).

(a) Table with estimated regression parameters, 95% confidence intervals (CI), t-statistics and p values. We fitted a LMM with relative fitness of evolved PAO1 populations (v) as a response variable, selection × competition environment as fixed explanatory variables and random intercepts fitted for individual populations (estimated value for σPopulation is 1.68). Again, the minimal adequate model was arrived at by sequentially deleting terms and comparing model fits using χ2-tests. The most parsimonious model included the interaction term (selection × competition environment: χ2(1)= 7.07, p = 0.008). To determine whether populations performed better (that is displayed a higher v) when competing with the ancestor under conditions similar to those they had evolved in (that is with or without the community), we carried out pairwise contrasts between competition treatments within each of the two selection environments. Hence, p values were not adjusted for multiple testing and estimated using the kenward-roger degrees-of-freedom method. Parameter estimates are on log2-scale. (b) We confirmed the robustness of our model predictions using a Bayesian framework (warmup = 1000, post warmup = 4000, chains = 4, thin = 1 and weakly informed priors), which gave very similar parameter estimates. (c-e) DHARMa simulation-based residual plots indicate no misspecification in the fitted LMM (see Fig. 1b for raw data). (c) QQ-plot showing no significant overall deviations from the expected distribution, and (d-e) Boxplots demonstrating homoscedastic dispersion of residuals across selection regimes and competition environments, respectively. Boxplots depict the median, the lower and upper quartiles (the 25th and 75th percentiles), with whiskers extending to 1.5x the interquartile range.