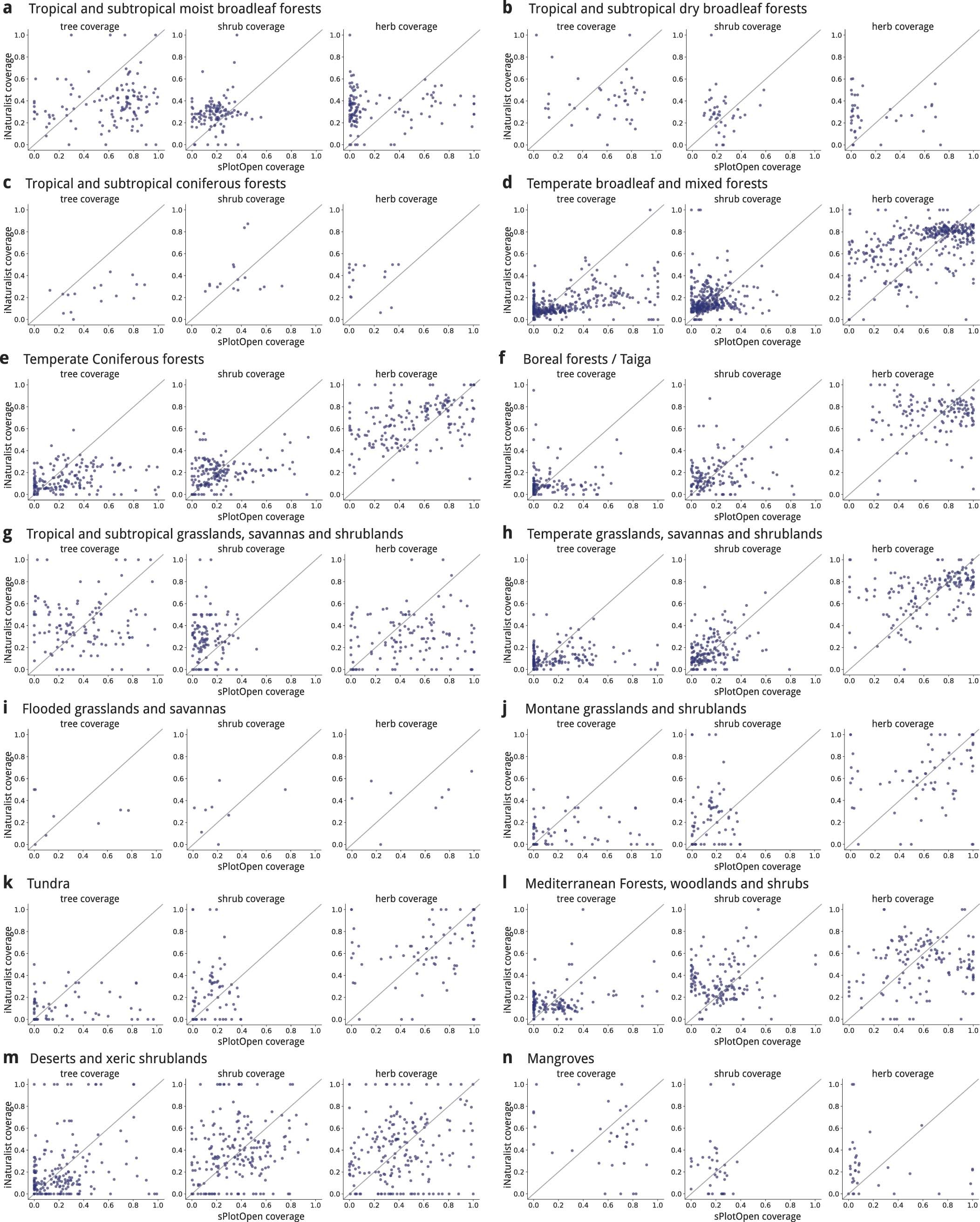
Extended Data Fig. 9: Growth forms coverage.
From: Citizen science plant observations encode global trait patterns

Correlation of growth forms coverage (tree coverage, shrub coverage, and herb coverage) in iNaturalist and sPlotOpen grid maps in each WWF biomes.