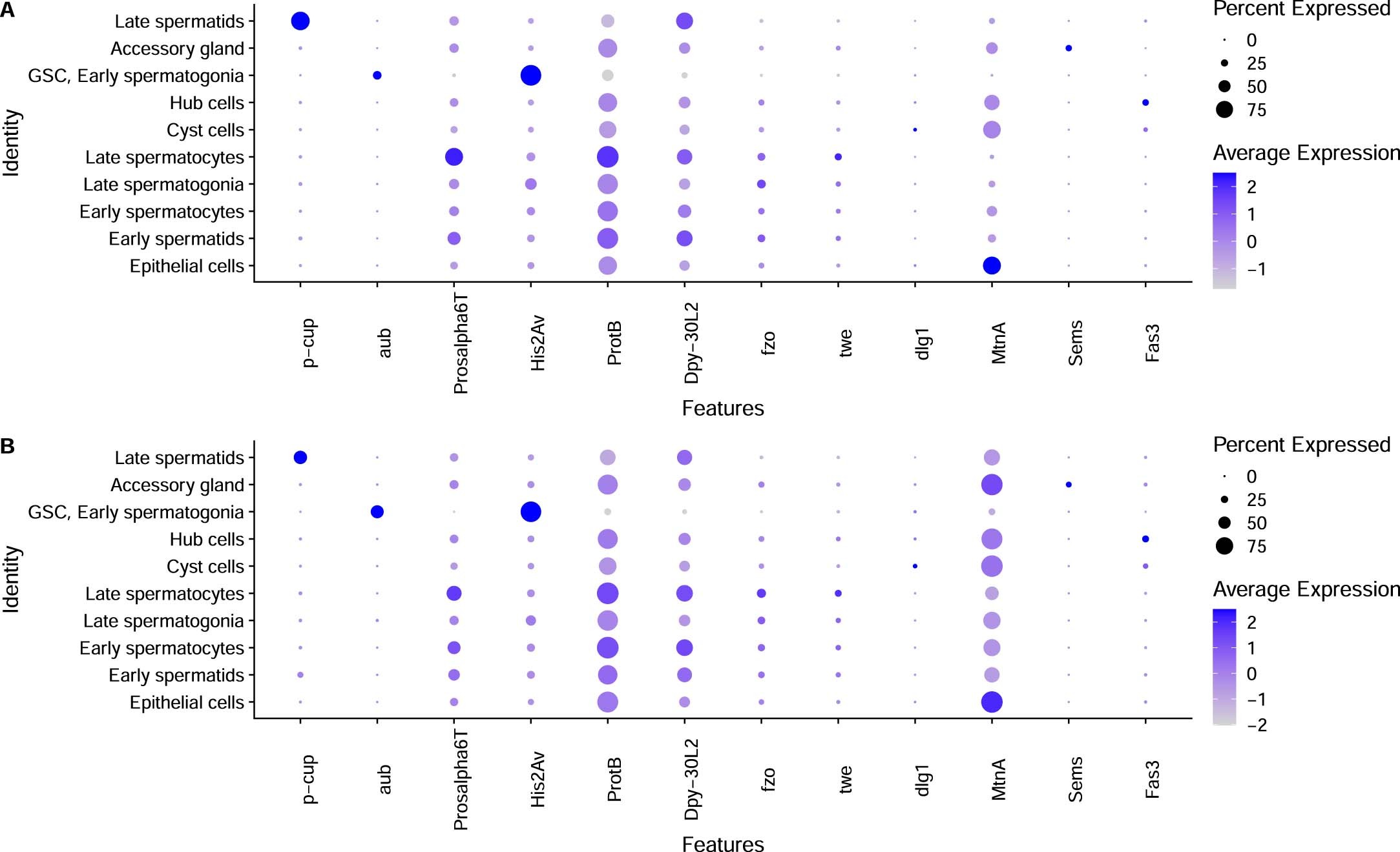
Extended Data Fig. 1: Dot plots of key marker genes in old and young fly testes.
From: Transcriptional and mutational signatures of the Drosophila ageing germline

Split by cell type, these are the average expression values of the ‘SCT’ slot in the old (a) and young (b) Seurat objects. Color corresponds to the level of expression, and the size of the dot represents the percent of cells of a class where a gene is detected.