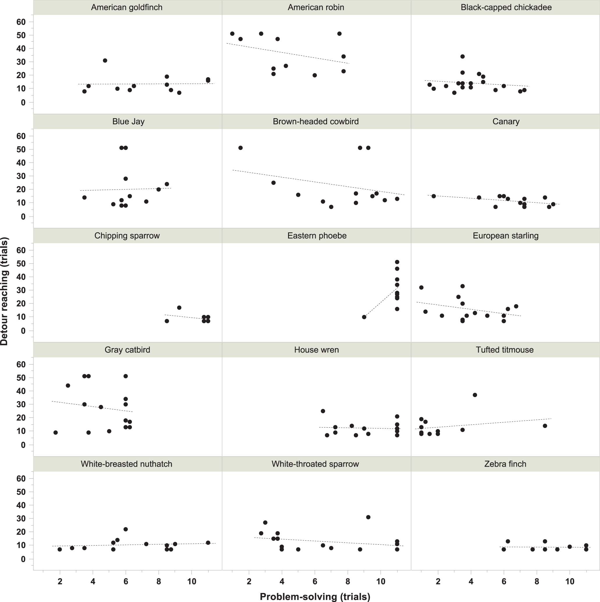
Extended Data Fig. 6: Intraspecific relationships between detour reaching and problem-solving performance for each of the 15 species.

None of the species shows a significant association between detour reaching and problem-solving (all P > 0.05). P-values were obtained from linear models (details in Supplementary Table 4c); dashed regression lines: P > 0.05.