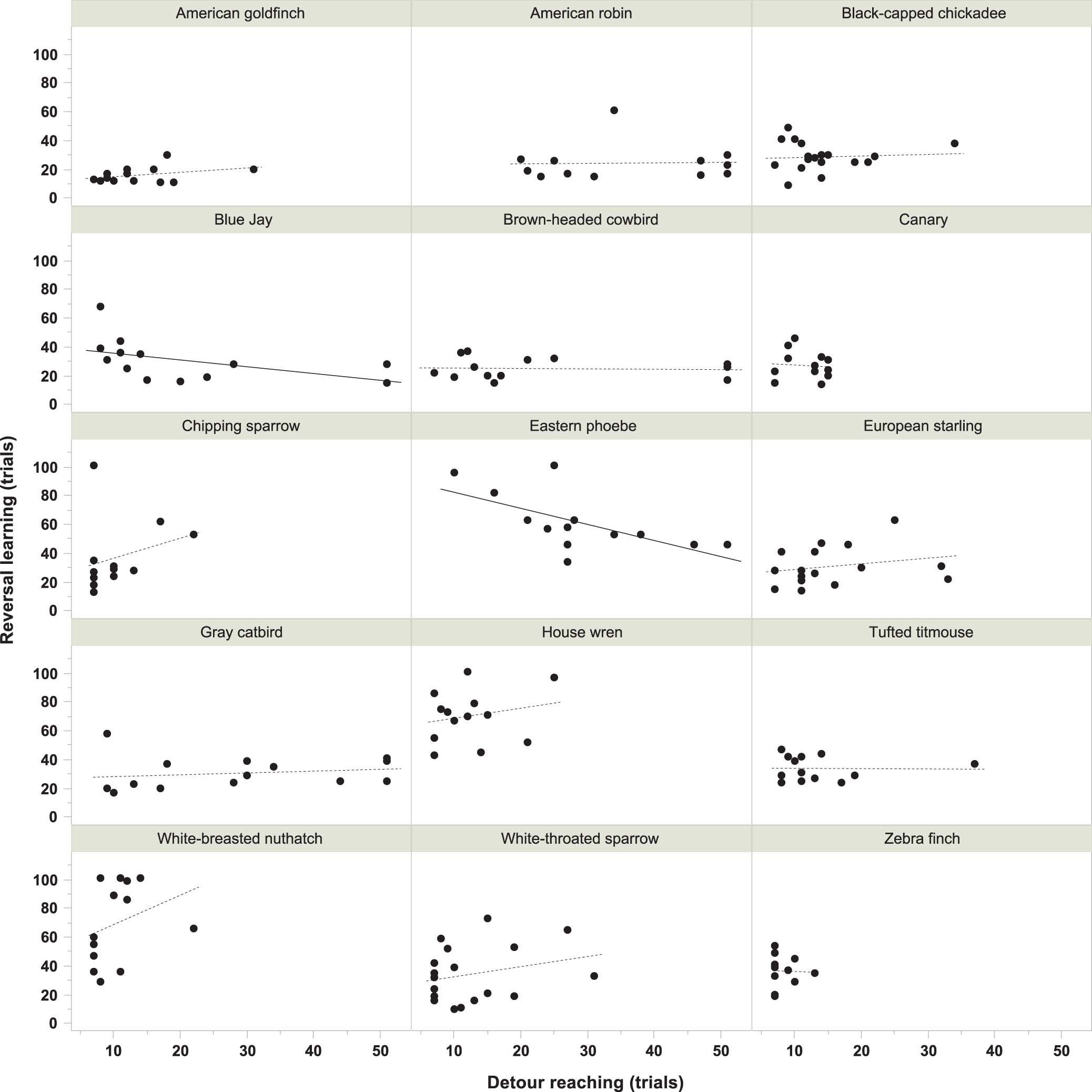
Extended Data Fig. 7: Intraspecific relationships between reversal learning and self-control performance for each of the 15 species.

Individual performance in the reversal learning task is significantly and negatively associated with detour reaching performance in the blue jay (R2 = 0.351, P = 0.0193), eastern phoebe (R2 = 0.338, P = 0.0219), but not in the other species (all other P > 0.05). R2 and P-values were obtained from linear models (details in Supplementary Table 4e); solid regression lines: P < 0.05, dashed regression lines: P > 0.05.