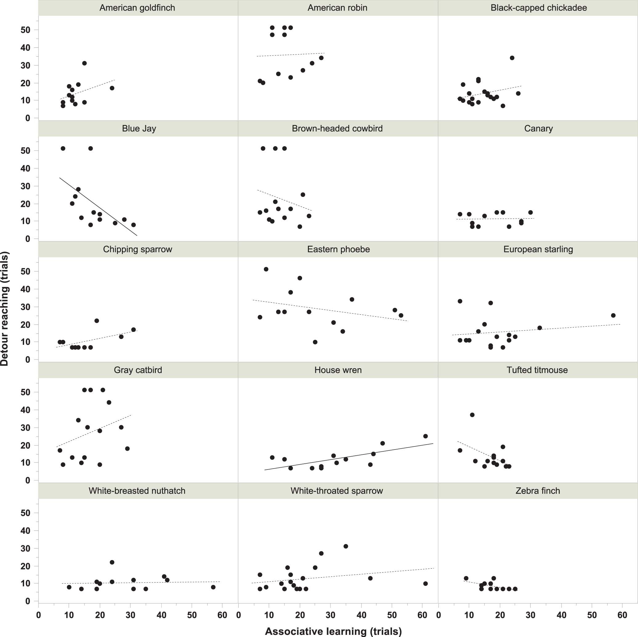
Extended Data Fig. 8: Intraspecific relationships between self-control and associative learning performance for each of the 15 species.

Individual performance in the detour reaching task is significantly and negatively associated with associative learning performance in the blue jay (R2 = 0.518, P = 0.0034), positively in the house wren (R2 = 0.435, P = 0.0085), but not in the other species (all other P > 0.05). R2 and P-values were obtained from linear models (details in Supplementary Table 4f); solid regression lines: P < 0.05, dashed regression lines: P > 0.05.