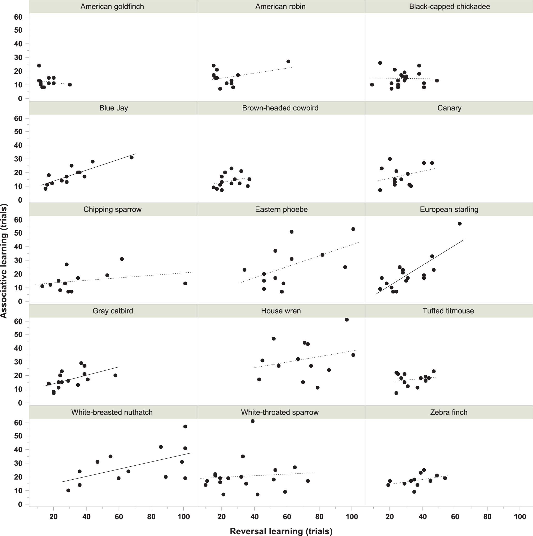
Extended Data Fig. 9: Intraspecific relationships between associative learning and reversal learning performance for each of the 15 species.

Individual performance in the associative learning task is significantly and positively associated with reversal learning performance in the blue jay (R2 = 0.691, P = 0.0003), European starling (R2 = 0.631, P = 0.0001), grey catbird (R2 = 0.229, P = 0.0406) and white-breasted nuthatch (R2 = 0.260, P = 0.0431), but not in the other species (all other P > 0.05). R2 and P-values were obtained from linear models (details in Supplementary Table 4d); solid regression lines: P < 0.05, dashed regression lines: P > 0.05.