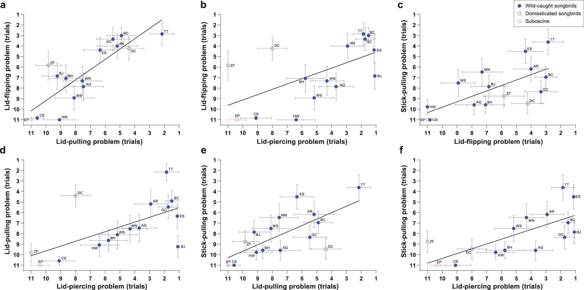
Extended Data Fig. 2: Comparisons of the 15 species’ performance on each problem-solving task.

Species that solve the lid-flipping problem in fewer trials are also quicker to solve (a) lid-pulling, (b) lid-piercing, and (c) stick-pulling problems. Performance on the lid-pulling problem is also associated with (d) lid-piercing and (e) stick-pulling problems’ performance, and (f) stick-pulling with lid-piercing problems’ performance. Graphs illustrate mean species’ trial values with SEM and lines of values predicted by Bayesian phylogenetic mixed models. Filled blue circles, wild-caught songbird species; empty blue circles, domesticated songbird species (zebra finch and canary); red circles, the suboscine (Eastern phoebe); solid trend lines: PMCMC.adj < 0.05; species’ two-letter codes are listed in Supplementary Table 1; detailed results of MCMCglmm modelling and FDR-corrected p-values (PMCMC.adj) are provided in Supplementary Table 2a.