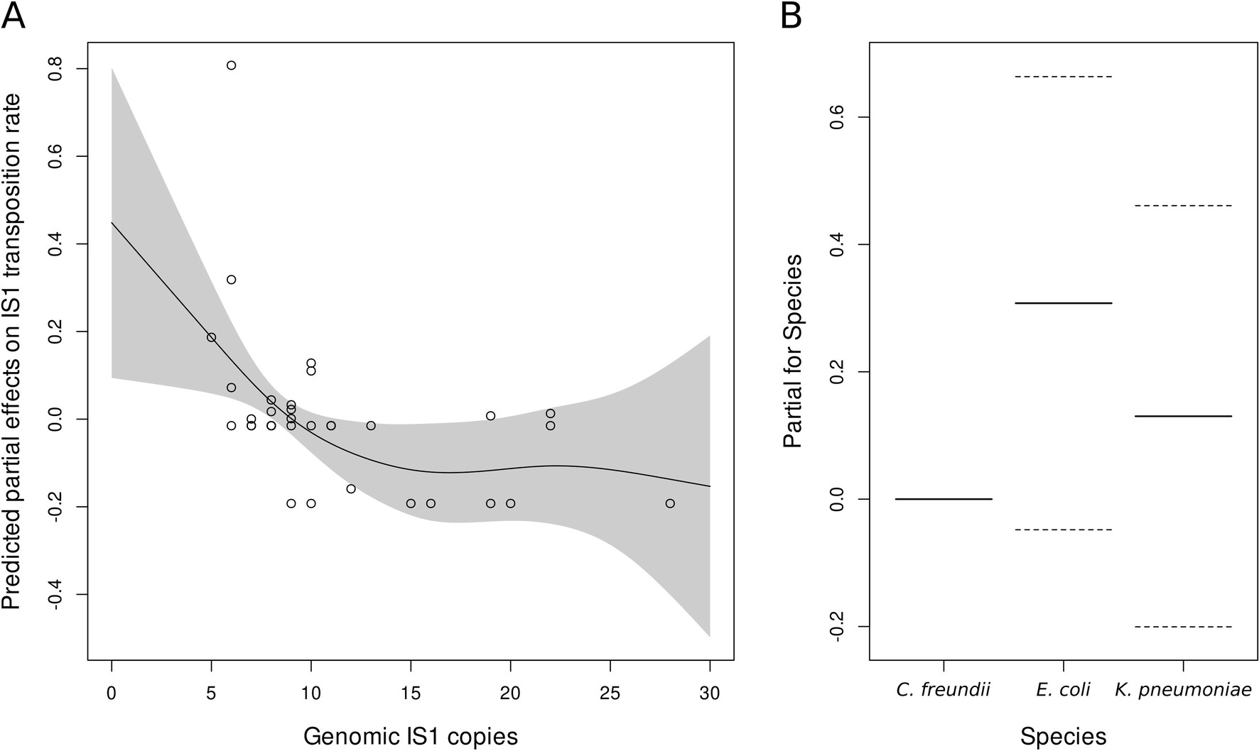
Extended Data Fig. 8: GAM model results.
From: Plasmid-encoded insertion sequences promote rapid adaptation in clinical enterobacteria

a) Predicted partial effects of genomic IS1 copies in the transposition rate of in vivo lineages analyzed through a Generalized Additive Model (GAM). The smooth function (number of basis functions: k = 6) shows a significant decrease in transposition rate (p = 0.032; F = 3.28; R-squared = 0.203; Deviance explained = 29.7%) as genomic IS1 copies increase in the strains, supporting our previous observations. Grey shade indicates the 95% confidence interval area centered around the fitted values predicted by the model. b) Predicted partial effects for the different species (parametric coefficients) included in the GAM. No significant differences were reported between species (two-sided; Intercept t = −0.704, p = 0.4864; E. coli t = 1.73, p = 0.0929; K. pneumoniae t = 0.1654, p = 0.4366). Solid lines indicate the mean partial effect and dashed lines indicate the 95% confidence interval for each species.