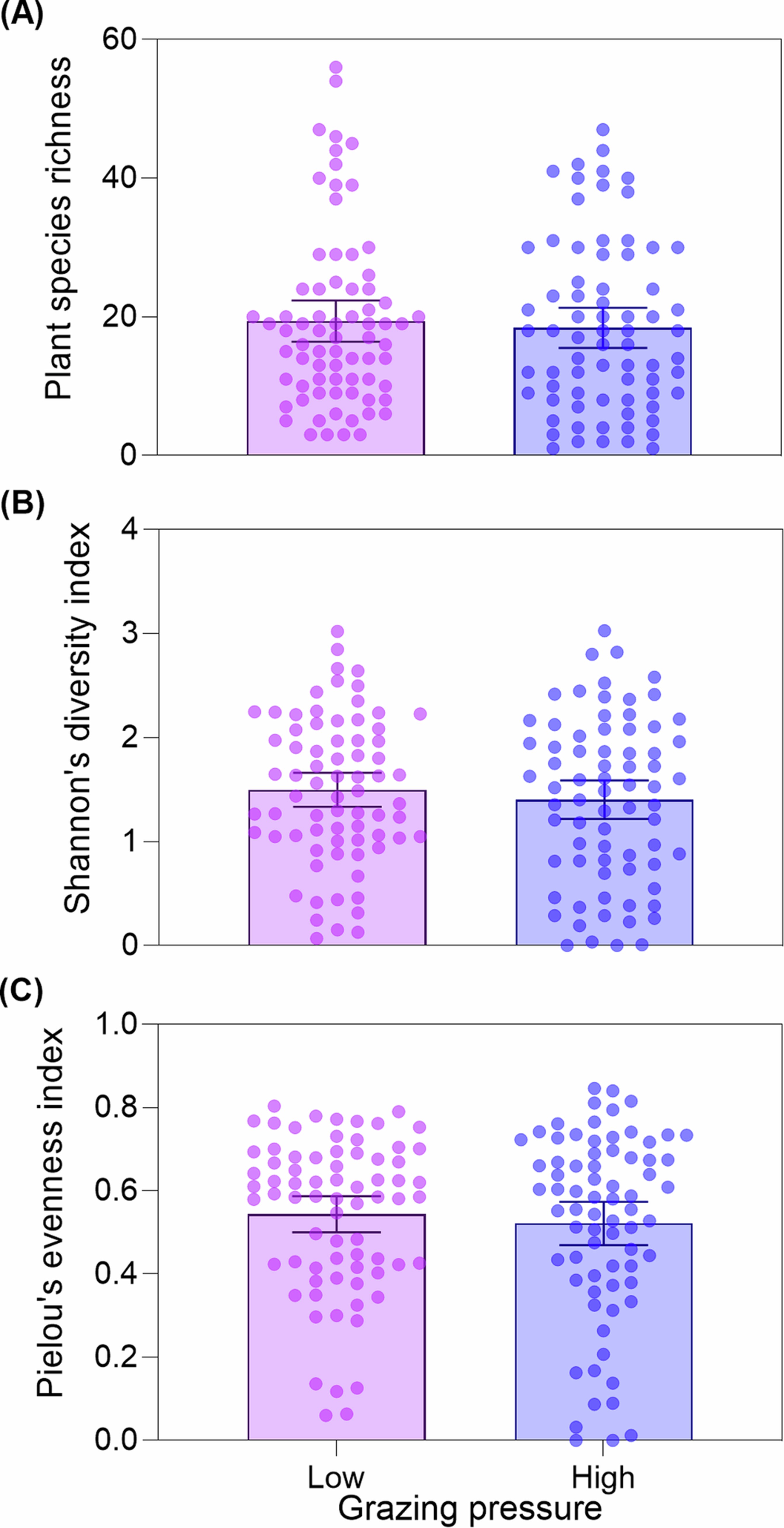
Extended Data Fig. 2: Effects of grazing pressure on species richness (A), Shannon diversity index (B), and Pielou evenness index (C).
From: Plant diversity enhances ecosystem resistance to increasing grazing pressure in global drylands

Mean and 95% confidence intervals are shown (n = 73 sites, each representing a pair of low- and high-grazing plots). Differences between grazing pressures were evaluated using paired t tests (two-sided). For panel A (richness): t = 1.19, P = 0.238, mean difference = −0.99 [95 % CI = −2.64 to 0.67]. For panel B (diversity): t = 1.34, P = 0.183, mean difference = −0.096 [95 % CI = −0.237 to 0.046]. For panel C (evenness): t = 0.90, P = 0.373, mean difference = −0.022 [95 % CI = −0.070 to 0.027]. None of the tests were statistically significant (P > 0.05).