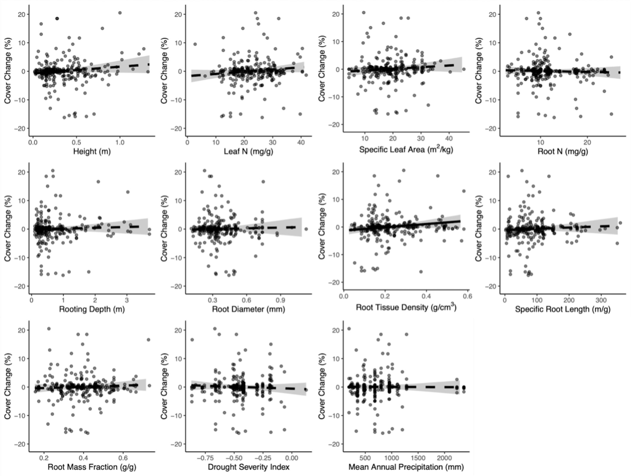
Extended Data Fig. 9: Plots displaying the effects of traits and environmental variables on change in population cover for the perennial forb species group (n = 257 populations, species = 169, R2 = 15%).

Trend lines represent median conditional effects of the trait, dashed lines are nonsignificant relationships and solid lines are significant relationships, colored envelopes represent 95% credible intervals. Opaque gray points are observed data points where darker points indicate overlap among points. Values on the x-axes are back-transformed.