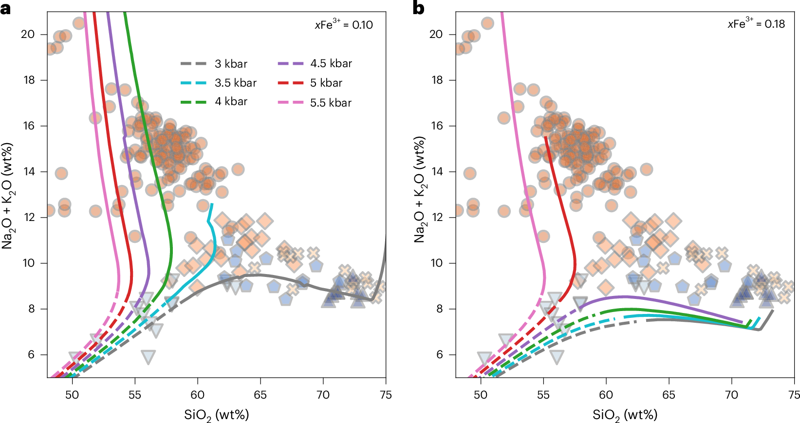
Fig. 4: Evolution of melt compositions during isobaric crystallization of the primitive CLG bulk composition at varying initial xFe3+.
From: A mid-crustal tipping point between silica-undersaturated and silica-oversaturated magmas

a,b, Initial xFe3+ = 0.10 (a) and initial xFe3+ = 0.18 (b). Modelled crystallization is fractional up to 94–95 vol.% (dashed lines) followed by final in situ batch crystallization (solid lines), as in Fig. 3. Whole-rock geochemistry12,14,28 for the BLIC shown in coloured symbols following Fig. 1: orange shades for eastern lobe of the NLS (circle), Thor Lake syenite (diamond) and Grace Lake granite (cross); blue shades for western lobe of Hearne Channel/Mad Lake granite (upward triangle), Whiteman Lake syenite (pentagon) and CLG (inverted triangle).