Abstract
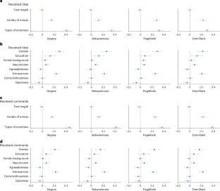
Attention has become a vital form of capital in the digital age, yet the mechanisms underlying its allocation on social media remain poorly understood. Using a nationally representative, online and offline-integrated dataset of a Generation Z cohort in China, we provide large-scale evidence on the determinants of success in attracting attention. Our findings reveal that ‘how you express yourself’ (using various emojis and expressing multiple emotions) is more influential than ‘who you are’ (in terms of gender, education, family background and personality traits) in attracting attention on social media. Further analysis confirms a causal effect of the variety of emojis and types of emotions on attracted attention, while simulation processes using agent-based models suggest that empathy evocation is the primary underlying mechanism. We also show that the mode of expression is largely independent of individual characteristics and that the attention gained from highly appealing expressions is easier to acquire than to sustain, as it is highly sensitive to changes in expression modes over time. Overall, our research identifies three key features of attention capital allocation on social media: low alignment with traditional resources, considerable manipulability and ease of acquisition but difficulty sustaining it over time.
This is a preview of subscription content, access via your institution
Access options
Access Nature and 54 other Nature Portfolio journals
Get Nature+, our best-value online-access subscription
$32.99 / 30 days
cancel any time
Subscribe to this journal
Receive 12 digital issues and online access to articles
$119.00 per year
only $9.92 per issue
Buy this article
- Purchase on SpringerLink
- Instant access to the full article PDF.
USD 39.95
Prices may be subject to local taxes which are calculated during checkout





Similar content being viewed by others
Data availability
The data supporting the main findings of this study are available from the corresponding authors upon request, subject to compliance with the laws of the People’s Republic of China and approval from the Office of Research at Renmin University of China. The data are not publicly available due to their sensitive nature and the potential for identification, which could compromise research participant privacy.
Code availability
The code used for data processing and analysis is available from the corresponding authors upon request and subject to the necessary data access approvals.
References
Simon, H. A. in Computers, Communications, and the Public Interest 38–72 (Johns Hopkins Press, 1971).
Goldhaber, M. The attention economy and the net. First Monday https://firstmonday.org/ojs/index.php/fm/article/download/519/440 (1997).
Davenport, T. H. & Beck, J. C. The Attention Economy: Understanding the New Currency of Business (Harvard Business School Press, 2001).
Falkinger, J. Attention economies. J. Econ. Theory 133, 266–294 (2007).
Brynjolfsson, E., Kim, S. T. & Oh, J. H. The attention economy: measuring the value of free goods on the internet. Inf. Syst. Res. https://doi.org/10.1287/isre.2021.0153 (2023).
Evans, D. S. Attention rivalry among online platforms. J. Compet. Law Econ. 9, 313–357 (2013).
Webster, J. G. The Marketplace of Attention: How Audiences Take Shape in a Digital Age (MIT Press, 2014).
Meyer, T., Kerkhof, A., Cennamo, C. & Kretschmer, T. Competing for attention on digital platforms: the case of news outlets. Strateg. Manag. J. 45, 1731–1790 (2024).
Ritzer, G., Dean, P. & Jurgenson, N. The coming of age of the prosumer. Am. Behav. Sci. 56, 379–398 (2012).
Bueno, C. C. The Attention Economy: Labour, Time and Power in Cognitive Capitalism (Rowman & Littlefield, 2016).
Eysenbach, G. Can tweets predict citations? Metrics of social impact based on Twitter and correlation with traditional metrics of scientific impact. J. Med. Internet Res. 13, e123 (2011).
Luc, J. G. et al. Does tweeting improve citations? One-year results from the TSSMN prospective randomized trial. Ann. Thorac. Surg. 111, 296–300 (2021).
Chan, H. F., Önder, A. S., Schweitzer, S. & Torgler, B. Twitter and citations. Econ. Lett. 231, 111270 (2023).
Chen, Y., Rui, H. & Whinston, A. Tweet to the top? Social media personal branding and career outcomes. MIS Q. 45, 499–534 (2021).
Qiu, J., Chen, Y., Cohn, A. & Roth, A. Social media and job market success: a field experiment on Twitter. Preprint at SSRN https://doi.org/10.2139/ssrn.4778120 (2024).
He, G., Leurs, K. & Li, Y. Researching motherhood in the age of short videos: stay-at-home mothers in China performing labor on Douyin. Media Commun. 10, 273–289 (2022).
Johnson, M. R. Inclusion and exclusion in the digital economy: disability and mental health as a live streamer on Twitch.tv. Inf. Commun. Soc. 22, 506–520 (2019).
Seo, M., Kim, J. & Yang, H. Frequent interaction and fast feedback predict perceived social support: using crawled and self-reported data of Facebook users. J. Comput. Mediat. Commun. 21, 282–297 (2016).
Wohn, D. Y., Carr, C. T. & Hayes, R. A. How affective is a ‘like’? The effect of paralinguistic digital affordances on perceived social support. Cyberpsychol. Behav. Soc. Netw. 19, 562–566 (2016).
Marengo, D., Montag, C., Sindermann, C., Elhai, J. D. & Settanni, M. Examining the links between active Facebook use, received likes, self-esteem and happiness: a study using objective social media data. Telemat. Inform. 58, 101523 (2021).
Franck, G. The economy of attention. J. Sociol. 55, 8–19 (2019).
Kowalczyk, C. M. & Pounders, K. R. Transforming celebrities through social media: the role of authenticity and emotional attachment. J. Prod. Brand Manag. 25, 345–356 (2016).
Piehler, R., Schade, M., Sinnig, J. & Burmann, C. Traditional or ‘instafamous’ celebrity? Role of origin of fame in social media influencer marketing. J. Strateg. Mark. 30, 408–420 (2022).
Conde, R. & Casais, B. Micro, macro and mega-influencers on instagram: the power of persuasion via the parasocial relationship. J. Bus. Res. 158, 113708 (2023).
Marwick, A. E. Status Update: Celebrity, Publicity, and Branding in the Social Media Age (Yale Univ. Press, 2013).
Khamis, S., Ang, L. & Welling, R. Self-branding, ‘micro-celebrity’ and the rise of social media influencers. Celeb. Stud. 8, 191–208 (2017).
Blyth, D. L., Jarrahi, M. H., Lutz, C. & Newlands, G. Self-branding strategies of online freelancers on Upwork. N. Media Soc. 26, 4008–4033 (2024).
Gannon, V. & Prothero, A. Beauty blogger selfies as authenticating practices. Eur. J. Mark. 50, 1858–1878 (2016).
Audrezet, A., De Kerviler, G. & Moulard, J. G. Authenticity under threat: when social media influencers need to go beyond self-presentation. J. Bus. Res. 117, 557–569 (2020).
Brooks, G., Drenten, J. & Piskorski, M. J. Influencer celebrification: how social media influencers acquire celebrity capital. J. Advert. 50, 528–547 (2021).
Raun, T. Capitalizing intimacy: new subcultural forms of micro-celebrity strategies and affective labour on YouTube. Convergence 24, 99–113 (2018).
Jun, S. & Yi, J. What makes followers loyal? The role of influencer interactivity in building influencer brand equity. J. Prod. Brand Manag. 29, 803–814 (2020).
Hess, A. C., Dodds, S. & Rahman, N. The development of reputational capital—how social media influencers differ from traditional celebrities. J. Consum. Behav. 21, 1236–1252 (2022).
Cotter, K. Playing the visibility game: how digital influencers and algorithms negotiate influence on Instagram. N. Media Soc. 21, 895–913 (2019).
Bishop, S. Managing visibility on YouTube through algorithmic gossip. N. Media Soc. 21, 2589–2606 (2019).
Djafarova, E. & Rushworth, C. Exploring the credibility of online celebrities’ Instagram profiles in influencing the purchase decisions of young female users. Comput. Hum. Behav. 68, 1–7 (2017).
Jin, S. V., Muqaddam, A. & Ryu, E. Instafamous and social media influencer marketing. Mark. Intell. Plan. 37, 567–579 (2019).
Most Popular Social Networks Worldwide as of April 2024, by Number of Monthly Users (Statista, accessed 3 August 2024); https://www.statista.com/statistics/272014/global-social-networks-ranked-by-number-of-users
How Many Influencers are There in 2023 (TrendHero, accessed 3 August 2024); https://trendhero.io/blog/how-many-influencers-are-there
Turner, A. How many people use WeChat? User statistics & trends. bankmycell https://www.bankmycell.com/blog/number-of-wechat-users (accessed 3 August 2024).
The 54th Statistical Report on China’s Internet Development (China Internet Network Information Center, 2024); https://www.cnnic.cn/n4/2024/0829/c88-11065.html
Zhou, L., Jin, F., Wu, B., Chen, Z. & Wang, C. L. Do fake followers mitigate influencers’ perceived influencing power on social media platforms? The mere number effect and boundary conditions. J. Bus. Res. 158, 113589 (2023).
Nevado-Catalán, D., Pastrana, S., Vallina-Rodriguez, N. & Tapiador, J. An analysis of fake social media engagement services. Comput. Secur. 124, 103013 (2023).
Cinelli, M., De Francisci Morales, G., Galeazzi, A., Quattrociocchi, W. & Starnini, M. The echo chamber effect on social media. Proc. Natl Acad. Sci. USA 118, e2023301118 (2021).
Huszár, F. et al. Algorithmic amplification of politics on Twitter. Proc. Natl Acad. Sci. USA 119, e2025334119 (2022).
Arnaboldi, V., Guazzini, A. & Passarella, A. Egocentric online social networks: analysis of key features and prediction of tie strength in Facebook. Comput. Commun. 36, 1130–1144 (2013).
Nakagawa, S. & Schielzeth, H. A general and simple method for obtaining R2 from generalized linear mixed-effects models. Methods Ecol. Evol. 4, 133–142 (2013).
Dalski, A., Kular, H., Jorgensen, J. G., Grill-Spector, K. & Grotheer, M. Both mOTS-words and pOTS-words prefer emoji stimuli over text stimuli during a lexical judgment task. Cereb. Cortex 34, bhae339 (2024).
Ito, T. A., Larsen, J. T., Smith, N. K. & Cacioppo, J. T. Negative information weighs more heavily on the brain: the negativity bias in evaluative categorizations. J. Pers. Soc. Psychol. 75, 887–900 (1998).
Pagan, N., Mei, W., Li, C. & Dörfler, F. A meritocratic network formation model for the rise of social media influencers. Nat. Commun. 12, 6865 (2021).
Wellman, M. L. ‘A friend who knows what they’re talking about’: extending source credibility theory to analyze the wellness influencer industry on Instagram. N. Media Soc. 26, 7270–7036 (2023).
Iyer, G. & Katona, Z. Competing for attention in social communication markets. Manag. Sci. 62, 2304–2320 (2016).
Rathje, S., Van Bavel, J. J. & Van Der Linden, S. Out-group animosity drives engagement on social media. Proc. Natl Acad. Sci. USA 118, e2024292118 (2021).
Bellovary, A. K., Young, N. A. & Goldenberg, A. Left-and right-leaning news organizations use negative emotional content and elicit user engagement similarly. Affect. Sci. 2, 391–396 (2021).
Robertson, C. E. et al. Negativity drives online news consumption. Nat. Hum. Behav. 7, 812–822 (2023).
Schöne, J. P., Garcia, D., Parkinson, B. & Goldenberg, A. Negative expressions are shared more on Twitter for public figures than for ordinary users. Proc. Natl Acad. Sci. USA Nexus 2, pgad219 (2023).
Freeman, L. C. in Social Network: Critical Concepts in Sociology Vol. 1 (ed. Scott, J.) 238–263 (Routledge, 2002).
Page, L., Brin, S., Motwani, R. & Winograd, T. The PageRank Citation Ranking: Bringing Order to the Web (Stanford Infolab, 1999).
Engsig, M., Tejedor, A., Moreno, Y., Foufoula-Georgiou, E. & Kasmi, C. DomiRank centrality reveals structural fragility of complex networks via node dominance. Nat. Commun. 15, 56 (2024).
Plutchik, R. in Theories of Emotion 3–33 (Academic, 1980).
Plutchik, R. The nature of emotions: human emotions have deep evolutionary roots, a fact that may explain their complexity and provide tools for clinical practice. Am. Sci. 89, 344–350 (2001).
Wang, M., Dai, X. & Yao, S. Development of the Chinese Big Five Personality Inventory (CBF-PI) III: psychometric properties of CBF-PI brief version. Chin. J. Clin. Psychol. 19, 454–457 (2011).
Schneider, C. M., Moreira, A. A., Andrade, J. S. Jr, Havlin, S. & Herrmann, H. J. Mitigation of malicious attacks on networks. Proc. Natl Acad. Sci. USA 108, 3838–3841 (2011).
Newman, M. E. Spread of epidemic disease on networks. Phys. Rev. E 66, 016128 (2002).
Kitsak, M. et al. Identification of influential spreaders in complex networks. Nat. Phys. 6, 888–893 (2010).
Golder, S. A. & Macy, M. W. Diurnal and seasonal mood vary with work, sleep, and daylength across diverse cultures. Science 333, 1878–1881 (2011).
Kolenikov, S. Calibrating survey data using iterative proportional fitting (raking). Stata J. 14, 22–59 (2014).
Acknowledgements
This research was supported by the National Social Science Fund of China (grant no. 23CSH006; principal investigator: Y.Z.). The funder had no role in study design, data collection and analysis, decision to publish or preparation of the manuscript. We also thank X. Zhou, T. Tam, W. Mu, Z. Sun, H. Li and X. Wang for their valuable comments and suggestions.
Author information
Authors and Affiliations
Contributions
Y.Z. conceived the study and wrote the paper. Y.Z., T.Q. and W.W. jointly designed the analytical framework. W.W. was responsible for data collection and dataset construction. Y.Z., T.Q., Y.C., M.K., W.B., Y.Y., X.H. and W.L. performed the data analyses. All authors contributed to reviewing and approving the final version of the paper.
Corresponding authors
Ethics declarations
Competing interests
The authors declare no competing interests.
Peer review
Peer review information
Nature Human Behaviour thanks the anonymous reviewer(s) for their contribution to the peer review of this work. Peer reviewer reports are available.
Additional information
Publisher’s note Springer Nature remains neutral with regard to jurisdictional claims in published maps and institutional affiliations.
Supplementary information
Supplementary Information (download PDF )
Supplementary Notes 1–9, Tables 1–15 and Figs. 1–30.
Rights and permissions
Springer Nature or its licensor (e.g. a society or other partner) holds exclusive rights to this article under a publishing agreement with the author(s) or other rightsholder(s); author self-archiving of the accepted manuscript version of this article is solely governed by the terms of such publishing agreement and applicable law.
About this article
Cite this article
Zhao, Y., Qiao, T., Chen, Y. et al. Attention on social media depends more on how you express yourself than on who you are. Nat Hum Behav 10, 288–302 (2026). https://doi.org/10.1038/s41562-025-02323-1
Received:
Accepted:
Published:
Version of record:
Issue date:
DOI: https://doi.org/10.1038/s41562-025-02323-1


