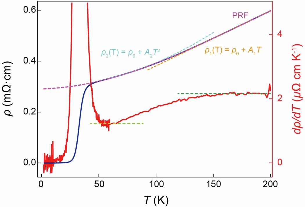
Extended Data Fig. 8: Analysis of R-T curve of the La2.91Sr0.09Ni2O7 film shown in Fig. 1d.

Red curve is the temperature-dependent deviation of resistivity. The parallel-resistor formula fitting leads to parameters α0 = 0.363 mΩ·cm, α1 = 2.09×10−4 mΩ·cm/K, α2 = 1.52×10−5 mΩ·cm/K2, and ρsat = 1.46 mΩ·cm.