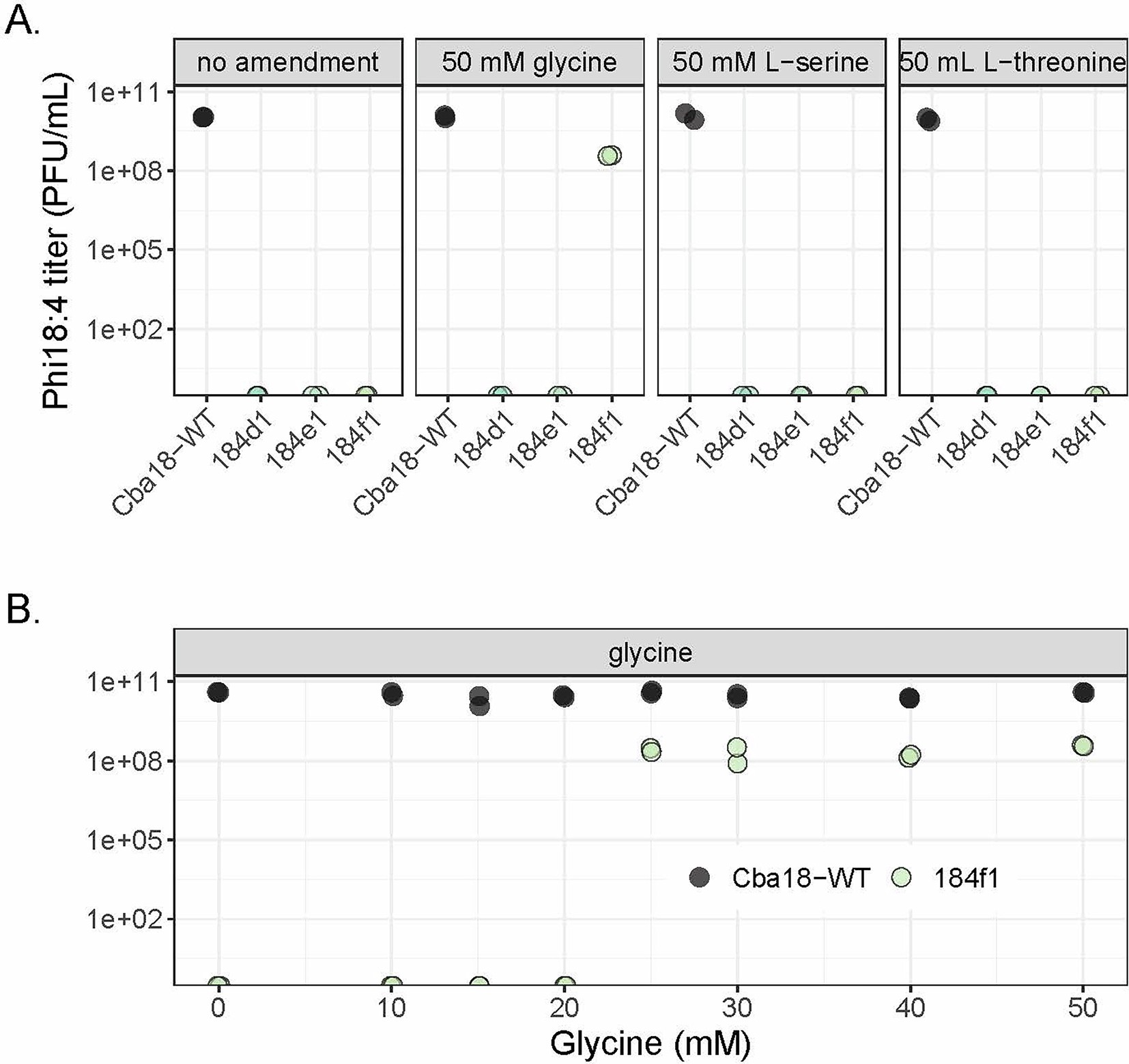
Extended Data Fig. 1: Glycine complementation partially rescues phi18:4 infection in mutant 184f1.
From: Phage resistance mutations in a marine bacterium impact biogeochemically relevant cellular processes

(A) At 50 mM, glycine rescued the infection of phi18:4 in 184f1, while l-serine and l-threonine did not affect phage production. None of these three amino acids affected phage production in mutants 184d1 and 184e1. Growth of all strains was visibly affected at higher concentrations of glycine, l-serine, and l-threonine and thus concentrations higher than 50 mM could not be tested. (B) Glycine rescued the infection of mutant 184f1 above a threshold concentration of 25 mM, with similar effects between 25 and 50 mM. The titer of phage phi18:4 on Cba18-WT and mutant 184f1 are represented in black and green, respectively.