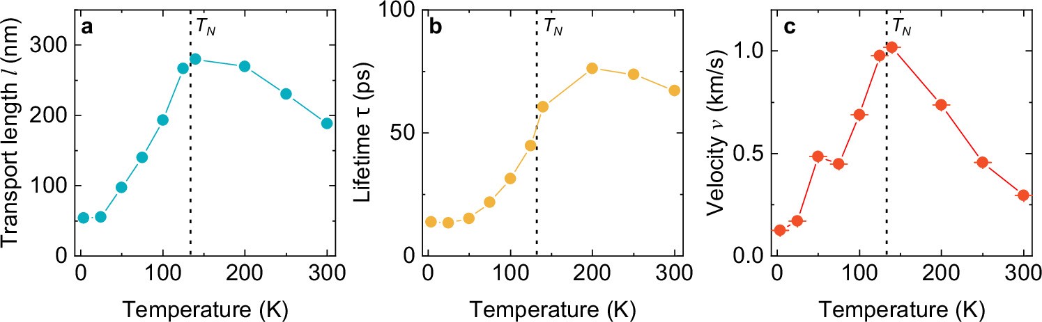
Extended Data Fig. 3: Temperature dependence of spatio-temporal exciton dynamics.
From: Exciton transport driven by spin excitations in an antiferromagnet

a Exciton transport length l determined by \(l=\sqrt{2{D}^{* }\tau }\). b Exciton lifetime τ determined from single exponential fits of the spatially integrated exciton decay measured for different temperatures (cf. discussion in Section S10). c Effective exciton propagation velocity, v = Δσ(t)/t, evaluated from a linear fit of Δσ(t) over the first 20 ps after excitation (cf. also Extended Data Fig. 7). Error bars indicate the statistical error of the Δσ(t) fit. All data obtained under an excitation fluence of 390 μJ/cm2.