Extended Data Fig. 5: Estimated increase of the local sample temperature under pulsed optical excitation.
From: Exciton transport driven by spin excitations in an antiferromagnet

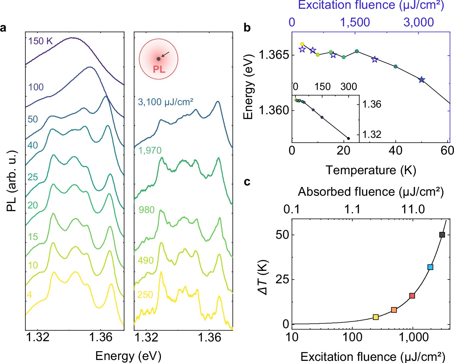
a Left: PL emission of 10L as a function of temperature recorded under 310 μJ/cm2 fluence. Right: Same PL but as a function of excitation fluence at 4 K. Red circle and black marked spot indicate the full size of the PL emission spot and the center of the diffraction-limited PL spectra taken for data analysis. b Overlaid temperature and fluence dependence of the X0 emission energy at nominally 4 K determined in a. Inset shows a larger range of the temperature dependence. c Interpolated excitation-induced linear increase in temperature ΔT.