Abstract
It is an open question whether mechanical resonators can be made nonlinear with vibrations approaching the quantum ground state. This requires the engineering of a mechanical nonlinearity far beyond what has been realized so far. Here we discover a mechanism to boost the Duffing nonlinearity by coupling the vibrations of a nanotube resonator to single-electron tunnelling and by operating the system in the ultrastrong-coupling regime. We find that thermal vibrations become highly nonlinear when lowering the temperature. The average vibration amplitude at the lowest temperature is 13 times the zero-point motion, with approximately 42% of the thermal energy stored in the anharmonic part of the potential. Our work may enable the realization of mechanical Schrödinger cat states, mechanical qubits and quantum simulators emulating the electron–phonon coupling.
Similar content being viewed by others
Main
Mechanical resonators are perfect linear systems in experiments carried out in the quantum regime. Such devices enable the quantum squeezing of mechanical motion1,2,3, quantum backaction-evading measurements4,5,6 and entanglement between mechanical resonators7,8. Achieving nonlinear vibrations in resonators cooled to the quantum ground state would offer novel prospects for the quantum control of their motion. These include the development of mechanical qubits9,10 and mechanical Schrödinger cat states11. Creating strong nonlinearities near the quantum ground state, with the displacement fluctuations given by the zero-point motion xzp, has so far been out of reach in all mechanical systems explored thus far. Various mechanical resonators have been experimentally cooled to the ground state (Fig. 1, blue stars); however, they become only appreciably nonlinear for vibration amplitudes xnl that are 106 times larger than xzp. Small resonators based on nanoscale objects feature comparatively large zero-point motion. Carbon nanotubes are the narrowest resonators with diameters typically between 1 and 3 nm, whereas graphene and semiconductor monolayers are the thinnest membranes, as they are atomically thin. Levitated particles can also be small when they are trapped by a focused laser beam. Despite the large zero-point motion of all these nanoscale resonators, nonlinear effects appear for xnl/xzp ranging from 103 to 105 (Fig. 1).
Different colours correspond to different types of vibrational system. The stars correspond to systems that have been experimentally cooled to the quantum ground state. Supplementary Fig. 11 indicates the reference for each system. When both displacement and frequency fluctuations are negligible, the effect of Duffing nonlinearity is sizable when \({x}_{{{{\rm{nl}}}}}/{x}_{{{{\rm{zp}}}}} > {(\beta {m}^{2}{\omega }_{{{{\rm{m}}}}}^{2}{{{\varGamma }}}_{{{{\rm{m}}}}}/\hslash \gamma )}^{1/2}\), where β ≃ 3.1 is a constant; ωm, the resonance frequency; Γm, the mechanical linewidth; and γ, the Duffing constant12.
The emergence of nonlinearities for large displacements is related to the weak Duffing (or Kerr) constant γ, which enters the restoring force as \(F=-m{\omega }_{{{{\rm{m}}}}}^{2}x-\gamma {x}^{3}\), where m is the mechanical eigenmode mass and ωm is the resonance frequency. The origin of nonlinearities in mechanical resonators is often related to the nonlinear dependence of stress on the displacement field of the mode12,13. Nonlinearities can be engineered using a force field gradient or a two-level system. Although mechanical systems have been operated in large field gradients14,15 and strongly coupled to two-level systems16,17,18,19,20,21,22,23, it has not been possible to substantially increase mechanical nonlinearities. The nonlinearity of levitated particles arises from the focused laser beam and is difficult to further enhance. Due to the weak Duffing constant, thermal fluctuations become nonlinear at high temperatures far away from the quantum regime. This occurs at room temperature for levitated particles24 and even higher temperatures for mechanical resonators25,26.
Here we demonstrate a new mechanism to boost the vibration nonlinearity by coupling a mechanical resonator to single-electron tunnelling (SET) through a quantum dot in a non-resonant manner. The nature of this coupling creates an increasingly larger vibration nonlinearity on lowering the temperature. Thermal vibrations become highly nonlinear at subkelvin temperatures when the average displacement amplitude decreases to xnl ≃ 13 × xzp, with about 42% of the thermal energy stored in the anharmonic part of the potential. Having the nonlinear part of the restoring force comparable with its linear part is extreme for mechanical resonators27. This is even more remarkable considering that the thermal vibration amplitude is so close to the zero-point motion.
The device consists of a quantum dot embedded in a vibrating nanotube (Fig. 2a). The nanotube is a small-bandgap semiconductor whose electrochemical potential can be tuned by an underlying gate electrode. The quantum dot is formed using the gate to electrostatically create a p–n tunnel junction at both ends of the suspended nanotube. The quantum dot is operated in the incoherent SET regime, where it behaves as a degenerate two-level system fluctuating between two states with N and N + 1 electrons. The vibrations are coupled to the electrons in the quantum dot via capacitive coupling between the nanotube and gate electrode. The coupling is described by the Hamiltonian H = −ℏgnx/xzp, where g is the electromechanical coupling, n = 0, 1 is the additional electron number in the quantum dot and xzp is the vibration zero-point motion. In the adiabatic limit, when the electron fluctuation rate is faster than the bare mechanical frequency (\({{{\varGamma }}}_{{{{\rm{e}}}}} > {\omega }_{{{{\rm{m}}}}}^{{{{\rm{o}}}}}\)), the fluctuations result in the nonlinear restoring force given by
for Γe < kBT and x ≪ 2kBT/ℏg and when the electronic two-level system is degenerate (Fig. 2b and Supplementary Equation (31)). A striking aspect of the nonlinearity is its temperature dependence, since the nonlinear Duffing constant substantially increases when reducing the temperature. The vibration potential can even become purely quartic in displacement, since the linear part of the restoring force vanishes28 at a low temperature when \(2{k}_{{{{\rm{B}}}}}T=\hslash {g}^{2}/{\omega }_{{{{\rm{m}}}}}^{{{{\rm{o}}}}}\). This can be realized for mechanical systems not in their motional ground state (\({k}_{{{{\rm{B}}}}}T > \hslash {\omega }_{{{{\rm{m}}}}}^{{{{\rm{o}}}}}\)) by operating the system in the ultrastrong-coupling regime when \(g > \sqrt{2}{\omega }_{{{{\rm{m}}}}}^{{{{\rm{o}}}}}\). Equation (1) also indicates that the measurement of a large decrease in ωm at a low temperature is a direct indication of strong nonlinearity. A large number of experiments have been carried out where mechanical vibrations are coupled to SET29,30,31,32,33,34,35,36,37, but the decrease in ωm has always been modest.
a, Schematic of the nanotube vibrating at ωm. A quantum dot (highlighted in red) is formed along the suspended nanotube; the total electron tunnelling rate to the two leads is Γe. b, Origin of the SET-based nonlinearity. The two linear force–displacement curves (shown in black) correspond to the dot filled with either N or N + 1 electrons; the slope is given by the spring constant \(m{{\omega }_{{{{\rm{m}}}}}^{{{{\rm{o}}}}}}^{2}\) and the two curves are separated by \({{\Delta }}x=2(g/{\omega }_{{{{\rm{m}}}}}^{{{{\rm{o}}}}}){x}_{{{{\rm{zp}}}}}\) caused by the force created by one electron tunnelling onto the quantum dot. The force felt by the vibrations is an average of the two black forces weighted by the Fermi–Dirac distribution when \({{{\varGamma }}}_{{{{\rm{e}}}}} > {\omega }_{{{{\rm{m}}}}}^{{{{\rm{o}}}}}\). The resulting force (red) is nonlinear for vibration displacements smaller than \(\sim \frac{{k}_{{{{\rm{B}}}}}T}{\hslash g}{x}_{{{{\rm{zp}}}}}\); the reduced slope at zero vibration displacement indicates the decrease in ωm. c, Gate voltage dependence of conductance G of device I at T = 6 K.
Carbon nanotube electromechanical resonators (Fig. 2a) are uniquely suited for demonstrating a strong vibration nonlinearity. Its ultralow mass gives rise to a large coupling g, which is directly proportional to \({x}_{{{{\rm{zp}}}}}=\sqrt{\hslash /2{\omega }_{{{{\rm{m}}}}}^{{{{\rm{o}}}}}m}\). Moreover, high-quality quantum dots can be defined along the nanotube by two p–n tunnel junctions that are controlled by electrostatic means. Figure 2c shows a conductance trace featuring regular peaks associated with SET through the system. The average dot occupation increases by one electron over the gate voltage range where a conductance peak is observed. A voltage smaller than kBT/e is applied to measure the conductance.
A large dip in ωm is observed when setting the system on a conductance peak (Fig. 3a–c) where the electronic two-level system is degenerate. This is consistent with the vibration potential becoming strongly anharmonic. The decrease in ωm is enhanced at lower temperatures (Fig. 3d), indicating that the high-temperature harmonic potential smoothly evolves into an increasingly anharmonic potential. These data are well reproduced by the universal function predicted for ωm, which depends only on the ratio ϵP/kBT (Supplementary Equation (44)); here \({\epsilon }_{{{{\rm{P}}}}}=2\hslash {g}^{2}/{\omega }_{{{{\rm{m}}}}}^{{{{\rm{o}}}}}\). In our analysis, we set the temperature of thermal vibrations equal to the temperature of electrons involved in SET, as measured in our previous work34; the temperature is measured from the width of the gate voltage of the conductance peaks (Methods and Extended Data Fig. 3). A similar decrease in ωm was observed in two other devices (Supplementary Section IIE).
a,b, Conductance (a) and mechanical resonance frequency (b) as a function of gate voltage \({V}_{{{{\rm{g}}}}}^{{{{\rm{d.c.}}}}}\) at 300 mK. By counting the number of observed conductance peaks from the nanotube energy gap, we estimate N = 22. The red dashed line indicates \({\omega }_{{{{\rm{m}}}}}^{{{{\rm{o}}}}}\). c, Driven mechanical response measured at 6 K (ref. 40). d, Temperature dependence of the resonance frequency. The red solid line is the predicted universal function. The \({\omega }_{{{{\rm{dip}}}}}/{\omega }_{{{{\rm{m}}}}}^{{{{\rm{o}}}}}\) reduction is expected to be about 0.75 when the potential is quartic; in this case, although the linear part of Feff is zero, the nonlinear part of Feff combined with thermal vibrations substantially renormalizes ωm. The confidence-interval error bars in b and d arise primarily from the standard deviation in ωm quantified from different driven spectral response measurements.
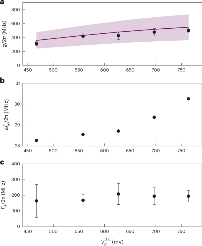
These measurements reveal that the system is deep in the ultrastrong-coupling regime. The universal temperature dependence of ωm enables us to quantify g with accuracy. The largest coupling obtained from measurements at different conductance peaks is g/2π = 0.50 ± 0.04 GHz (Fig. 4a, black dots), corresponding to \(g/{\omega }_{{{{\rm{m}}}}}^{{{{\rm{o}}}}}\) = 17 ± 1. The coupling is consistent with the estimation g/2π = 0.55 ± 0.18 GHz obtained from independent measurements (Fig. 4a, purple line) using \(g=e({C}_{{{{\rm{g}}}}}^{{\prime} }/{C}_{{{\Sigma }}}){V}_{{{{\rm{g}}}}}^{{{{\rm{d.c.}}}}}/\sqrt{2m\hslash {\omega }_{{{{\rm{m}}}}}^{{{{\rm{o}}}}}}\), where m is quantified from driven spectral response measurements and the spatial derivative of the dot-gate capacitance \({C}_{{{{\rm{g}}}}}^{{\prime} }\) and total capacitance CΣ of the quantum dot are obtained from electron transport measurements. Figure 4a–c shows that the device is operated in the ultrastrong-coupling regime (\(g > {\omega }_{{{{\rm{m}}}}}^{{{{\rm{o}}}}}\)) and the adiabatic limit (\({{{\varGamma }}}_{{{{\rm{e}}}}} > {\omega }_{{{{\rm{m}}}}}^{{{{\rm{o}}}}}\)), which are necessary conditions to realize strong vibration anharmonicity. Although it is not directly relevant for this particular implementation, the quantum cooperativity 4g2/ΓeΓth is above unity over the measured temperature range, where Γth is the thermal decoherence rate.
a, Coupling g as a function of \({V}_{{{{\rm{g}}}}}^{{{{\rm{d.c.}}}}}\). The black data points are obtained from the measured temperature dependence of ωm. The purple line is estimated from the capacitive force associated with one electron added onto the quantum dot. b,c, Bare mechanical resonance frequency \({\omega }_{{{{\rm{m}}}}}^{{{{\rm{o}}}}}\) and electron tunnelling rate Γe as a function of \({V}_{{{{\rm{g}}}}}^{{{{\rm{d.c.}}}}}\). The \({\omega }_{{{{\rm{m}}}}}^{{{{\rm{o}}}}}\) variation is due to the electrostatically induced stress in the nanotube. We quantify Γe from the temperature dependence of the resonance width Δω in the spectral response measurements. The confidence-interval error bars in a (black dots) and c primarily arise from the uncertainty in the fit of the measured temperature dependence of ωm and Δω, respectively, to the predictions of the theory. The confidence interval in the estimation of g shown in a (purple-shaded area) mainly originates from the uncertainty in the measurement of the mass.
We now turn our attention to the driven nonlinear resonant response of the mechanical mode (Fig. 5a,b). The spectral peak is asymmetric for vibration amplitudes as low as x ≃ 40 × xzp. We do not observe the usual hysteresis in the nonlinear response when the driving frequency is swept back and forth. Moreover, the nonlinear resonator has a decreasing responsivity for an increasing drive (Fig. 5c). These data agree with a model that takes into account the strong nonlinearity and thermal fluctuations. The prediction (Fig. 5a,c (red) and Supplementary Fig. 4) is the result of a simultaneous fit over a full set of spectra with different drive amplitudes but with a common set of parameters. The model fully captures the atypical behaviours observed when transitioning from the linear to the nonlinear regime at larger drives. The lack of hysteresis is explained by the low amplitude of driven vibrations compared with the thermal displacement amplitude, an unusual regime for driven nonlinear response measurements27. The behaviour of the responsivity arises from the thermal fluctuations that modify the spectral response of the driven nonlinear resonator27. From the comparison between data and model, we determine the coupling g/2π = 0.65 ± 0.22 GHz. We obtain g/2π = 0.76 ± 0.20 GHz from the quadratic dependence of the resonant frequency on the driven vibrational amplitude for Duffing resonators (Fig. 5b), which remains approximately valid in the presence of thermal fluctuations provided that the driven vibration amplitude is sufficiently small. These two values of g are consistent with the first two estimates.
The vibrations are measured at \({V}_{{{{\rm{g}}}}}^{{{{\rm{d.c.}}}}}\) = 757.2 mV. a, Nonlinear resonant response to the driving force at 6 K. The dashed black line corresponds to x = 40 × xzp. The red line is the simultaneous fit of ten spectra at different drives. The response gets difficult to measure at lower T, since the vibration dissipation is enhanced. b, Resonant frequency shift versus the driven vibration amplitude at 6 K. The red line is a linear fit to the data. The driven vibration amplitude is set smaller or comparable with the averaged amplitude of the thermal vibrations xth. c, Responsivity x/Fd of the mechanical mode at 6 K, where Fd is the driven force amplitude. The red line is the fit to the theoretical prediction (Supplementary Section IH). d, Ratio \({{{{\mathcal{U}}}}}_{{{{\rm{NL}}}}}\) between the thermal vibration energy stored in the nonlinear part of the potential and that in the total vibration potential. The confidence-interval error bars in b and c arise from the uncertainty in the fitting of the spectral response and the determination of the dot-gate separation. The confidence-interval error bars in d primarily arises from the uncertainty in the fit of the measured temperature dependence of ωm to the predictions of the theory.
The vibrations become strongly nonlinear at a low temperature for vibrations approaching the quantum ground state. Figure 5d shows the fraction of thermal energy stored in the nonlinear part of the vibration potential \({{{{\mathcal{U}}}}}_{{{{\rm{NL}}}}}=[\langle {U}_{{{{\rm{eff}}}}}(x)\rangle -m{\omega }_{{{{\rm{m}}}}}^{2}\langle {x}^{2}\rangle /2]/\langle {U}_{{{{\rm{eff}}}}}(x)\rangle\), where Ueff(x) is the total effective vibration potential created by the coupling. The fraction is directly estimated from the measured decrease in ωm using the theory predictions of the coupled system (Supplementary Section IF). The effect of this nonlinearity on the vibrations becomes increasingly important as the temperature is decreased, since a larger fraction of the thermal energy is stored in the nonlinear part of the potential (Fig. 5d). The fraction \({{{{\mathcal{U}}}}}_{{{{\rm{NL}}}}}\) becomes approximately 42% at the lowest measured temperature where the average amplitude of thermal vibrations is xth ≃ 13 × xzp. The large nonlinearity is accompanied by an enhanced damping at a low temperature (Supplementary Section IIB). The damping may be suppressed by electrostatically transforming the embedded single quantum dot into a double quantum dot33 where electron tunnelling happens coherently between two dots. This approach preserves both strong mechanical nonlinearities measured in this work10 and high mechanical quality factors34,38.
We have demonstrated a mechanism to create a strong mechanical nonlinearity by coupling a mechanical resonator and a two-level system in the ultrastrong-coupling regime. Mechanical resonators endowed with a sizable nonlinearity in the quantum regime enable numerous applications. Novel qubits may be engineered where the information is stored in the mechanical vibrations; such mechanical qubits are expected to inherit the long coherence time of mechanical vibrations and may be used for manipulating quantum information9,10. Mechanical ‘Schrödinger cat’ states—non-classical superpositions of mechanical coherent states—can also be formed11 with enhanced quantum sensing capabilities in the detection of force and mass. Coupling mechanical vibrations to yet more quantum dots in a linear array may realize an analogue quantum simulator of small-sized quantum materials39. Such a simulator could explore the rich physics of strongly correlated systems where the electron–electron repulsion is competing with the electron–phonon interaction.
Methods
Central theoretical results
We highlight the main theoretical results that emerge from the coupling of a nanomechanical resonator coupled to a quantum dot operated in the incoherent SET regime. When the vibrations are slow with respect to the typical electron tunnelling rate, one finds that the effective force reads as
where m is the eigenmode mass, \({\omega }_{\mathrm{m}}^{o}\) is the bare resonance frequency, Fe = ℏg/xzp is the variation in the force acting on the mechanical system when the number of electrons in the dot varies by one unit, ϵ is the electron energy level and fF is the Fermi–Dirac function. One can define a resonance frequency from the quadratic term of the effective vibration potential obtained by the integration of Feff. It reads \({\omega }_{\mathrm{Q}}={\omega }_{\mathrm{m}}^{o}{(1-{\epsilon }_{\mathrm{P}}/4{k}_{\mathrm{B}}T)}^{1/2}\), where \({\epsilon }_{\mathrm{P}}=2\hslash {g}^{2}/{\omega }_{\mathrm{m}}^{o}\) is the polaronic energy, T is the temperature and kB is the Boltzmann constant. Remarkably, the resonance frequency ωQ associated with the linear restoring force decreases when lowering the temperature and vanishes at T = 4ϵP/kB. The dependence of ωQ as a function of ϵP/kBT is shown as a dotted (yellow) line in Extended Data Fig. 1.
Another striking effect of the coupling and of the suppression of ωQ is that the nonlinear part of the restoring force becomes dominant at low temperatures. Due to this nonlinearity, the period of oscillation becomes strongly dependent on the oscillation amplitude. Thermal fluctuations allow the oscillator to explore different amplitudes and thus different resonance frequencies: when averaged, these fluctuations lead to an observed resonance frequency that is much higher than ωQ (Extended Data Fig. 1, red line). In other words, the effect of nonlinearity becomes more important when the vibrations are cooled to a low temperature. This is just the opposite of what has been observed in mechanical resonators so far.
Despite the rich physics at work, the temperature dependence of the observed resonance frequency is a universal function of ϵP/kBT for weak damping. We find this by calculating the displacement fluctuation spectrum Sxx(ω) (shown as a density plot; Extended Data Fig. 1). It has been shown41 that Sxx(ω) is proportional to the amplitude response to a weak drive, which is what we measure in this work. The temperature dependence of the measured resonance frequency (Fig. 3d) agrees well with the prediction (Extended Data Fig. 1, full red line). It is used to extract the value of ϵP and therefore g.
Device production
Carbon nanotubes are grown on high-resistive silicon substrates with prefabricated platinum electrodes and trenches. The growth is done in the last step of the fabrication process to reduce surface contamination. Nanotubes are grown by the ‘fast heating’ chemical vapour deposition method, which comprises rapidly moving the sample from a position outside of the oven to the centre of the oven so that the temperature of the sample rapidly grows from room temperature to about 850 °C. This enables us to grow nanotubes over shallow trenches42. We remove the contamination molecules adsorbed on the nanotube surface during the transfer of the nanotube between the chemical vapour deposition oven and the cryostat, by applying a large current through the device under a ultrahigh vacuum at the base temperature of the dilution cryostat43. In the three measured devices, the nanotube–gate separation is 150 nm and the length of the suspended nanotube is between 1.2 and 1.4 μm.
Electrical characterization
We select ultraclean, small-bandgap semiconducting nanotubes. Extended Data Fig. 2a–c shows the charge stability diagram measurements at 6 K, 1 K and base temperature of the cryostat. The nanotube regions in contact with the source and drain electrodes are p doped44. For large positive gate voltages, p–n junctions are formed along the nanotube near the metal electrodes, forming a quantum dot along the suspended nanotube. For gate voltage values below 0.05 V, the suspended nanotube region is p doped and the p–n junctions disappear, resulting in a higher conductance. The size of the Coulomb diamonds decreases as the number of electrons in the nanotube quantum dot increases. The charging energy Ec approximately varies from 8.5 to 6.5 meV in the gate voltage range discussed in the main text, whereas the level spacing ΔE changes from 0.97 to 0.73 meV. All the data shown in the main text and Supplementary Information are in the kBT < ΔE, Ec regime. The short separation between the nanotube and gate electrode enables us to achieve a large capacitive coupling between the nanotube island and gate electrode as Cg ≫ Cs, Cd, where Cs and Cd are the capacitances between the nanotube island and the source and drain electrodes, respectively. The diamonds in the charge stability diagram measurements become distorted when lowering the temperature due to the mechanical self-oscillations of the suspended nanotube generated at finite source bias voltages31,34,35.
Temperature calibration
The temperature calibration in quantum dot devices operated in the incoherent SET regime (ℏΓe < kBT < ΔE, Ec) is achieved by measuring the electrical conductance peak (Extended Data Fig. 3a), where Γe is the electron coupling rate and T is the temperature. The electron temperature is obtained from the width of the gate voltage \({V}_{{{{\rm{g}}}}}^{{{{\rm{dc}}}}}\) of the conductance peak using the standard incoherent SET description (Supplementary Equation (5)):
Here G0 is the T-dependent peak conductance, α is the lever arm and VP is the gate voltage of the conductance peak. We checked with the numerical calculations of the Fokker–Planck equation that the modification of the width of the conductance peak by electromechanical coupling is negligible over the measured temperature range. Extended Data Fig. 3b shows that the electron temperature is linear with the cryostat temperature except at low temperatures where it saturates at about 100 mK.
We cannot estimate the temperature of mechanical vibration fluctuations by measuring their spectrum as a function of temperature, since the low mechanical quality factor due to electron tunnelling in the SET regime impedes us to resolve the resonance of thermal vibrations. In another work34, we measured the vibration fluctuation temperature of a high-quality-factor nanotube device as a function of cryostat temperature using the same cryostat and the same cabling, filters and amplifier; we observed that the vibration temperature is linear with the cryostat temperature down to a saturation temperature that is similar to the electron saturation temperature (Extended Data Fig. 3b). This indicates that the vibration temperature and electron temperature are similar.
Data availability
Source data are available for this paper. All other data that support the plots within this paper and other findings of this study are available from the corresponding author upon reasonable request.
References
Pirkkalainen, J.-M., Damskägg, E., Brandt, M., Massel, F. & Sillanpää, M. A. Squeezing of quantum noise of motion in a micromechanical resonator. Phys. Rev. Lett. 115, 243601 (2015).
Lecocq, F., Clark, J. B., Simmonds, R. W., Aumentado, J. & Teufel, J. D. Quantum nondemolition measurement of a nonclassical state of a massive object. Phys. Rev. X 5, 041037 (2015).
Wollman, E. E. et al. Quantum squeezing of motion in a mechanical resonator. Science 349, 952–955 (2015).
Suh, J. et al. Mechanically detecting and avoiding the quantum fluctuations of a microwave field. Science 344, 1262–1265 (2014).
Ockeloen-Korppi, C. F. et al. Quantum backaction evading measurement of collective mechanical modes. Phys. Rev. Lett. 117, 140401 (2016).
Møller, C. B. et al. Quantum back-action-evading measurement of motion in a negative mass reference frame. Nature 547, 191–195 (2017).
Kotler, S. et al. Direct observation of deterministic macroscopic entanglement. Science 372, 622–625 (2021).
Wollack, E. A. et al. Quantum state preparation and tomography of entangled mechanical resonators. Nature 604, 463–467 (2022).
Rips, S. & Hartmann, M. J. Quantum information processing with nanomechanical qubits. Phys. Rev. Lett. 110, 120503 (2013).
Pistolesi, F., Cleland, A. N. & Bachtold, A. Proposal for a nanomechanical qubit. Phys. Rev. X 11, 031027 (2021).
Kirchmair, G. et al. Observation of quantum state collapse and revival due to the single-photon Kerr effect. Nature 495, 205–209 (2013).
Lifshitz, R. & Cross, M. C. Nonlinear dynamics of nanomechanical and micromechanical resonators. in Reviews of Nonlinear Dynamics and Complexity Ch. 1 (John Wiley & Sons, 2008).
Postma, H. W. C., Kozinsky, I., Husain, A. & Roukes, M. L. Dynamic range of nanotube- and nanowire-based electromechanical systems. Appl. Phys. Lett. 86, 223105 (2005).
Gloppe, A. et al. Bidimensional nano-optomechanics and topological backaction in a non-conservative radiation force field. Nat. Nanotechnol. 9, 920–926 (2014).
Unterreithmeier, Q. P., Weig, E. M. & Kotthaus, J. P. Universal transduction scheme for nanomechanical systems based on dielectric forces. Nature 458, 1001–1004 (2009).
Kettler, J. et al. Inducing micromechanical motion by optical excitation of a single quantum dot. Nat. Nanotechnol. 16, 283–287 (2021).
O’Connell, A. D. et al. Quantum ground state and single-phonon control of a mechanical resonator. Nature 464, 697–703 (2010).
Satzinger, K. J. et al. Quantum control of surface acoustic-wave phonons. Nature 563, 661–665 (2018).
Chu, Y. et al. Creation and control of multi-phonon Fock states in a bulk acoustic-wave resonator. Nature 563, 666–670 (2018).
Arrangoiz-Arriola, P. et al. Resolving the energy levels of a nanomechanical oscillator. Nature 571, 537–540 (2019).
LaHaye, M. D., Suh, J., Echternach, P. M., Schwab, K. C. & Roukes, M. L. Nanomechanical measurements of a superconducting qubit. Nature 459, 960–964 (2009).
Pirkkalainen, J.-M. et al. Hybrid circuit cavity quantum electrodynamics with a micromechanical resonator. Nature 494, 211–215 (2013).
Ma, X., Viennot, J. J., Kotler, S., Teufel, J. D. & Lehnert, K. W. Non-classical energy squeezing of a macroscopic mechanical oscillator. Nat. Phys. 17, 322–326 (2021).
Gieseler, J., Novotny, L. & Quidant, R. Thermal nonlinearities in a nanomechanical oscillator. Nat. Phys. 9, 806–810 (2013).
Maillet, O. et al. Nonlinear frequency transduction of nanomechanical Brownian motion. Phys. Rev. B 96, 165434 (2017).
Huang, L. et al. Frequency stabilization and noise-induced spectral narrowing in resonators with zero dispersion. Nat. Commun. 10, 3930 (2019).
Bachtold, A., Moser, J. & Dykman, M. Mesoscopic physics of nanomechanical systems. Rev. Mod. Phys. 94, 045005 (2022).
Micchi, G., Avriller, R. & Pistolesi, F. Mechanical signatures of the current blockade instability in suspended carbon nanotubes. Phys. Rev. Lett. 115, 206802 (2015).
Knobel, R. G. & Cleland, A. N. Nanometre-scale displacement sensing using a single electron transistor. Nature 424, 291–293 (2003).
Lassagne, B., Tarakanov, Y., Kinaret, J., Garcia-Sanchez, D. & Bachtold, A. Coupling mechanics to charge transport in carbon nanotube mechanical resonators. Science 325, 1107–1110 (2009).
Steele, G. A. et al. Strong coupling between single-electron tunneling and nanomechanical motion. Science 325, 1103–1107 (2009).
Okazaki, Y., Mahboob, I., Onomitsu, K., Sasaki, S. & Yamaguchi, H. Gate-controlled electromechanical backaction induced by a quantum dot. Nat. Commun. 7, 11132 (2016).
Khivrich, I., Clerk, A. A. & Ilani, S. Nanomechanical pump–probe measurements of insulating electronic states in a carbon nanotube. Nat. Nanotechnol. 14, 161–167 (2019).
Urgell, C. et al. Cooling and self-oscillation in a nanotube electromechanical resonator. Nat. Phys. 16, 32–37 (2020).
Wen, Y. et al. A coherent nanomechanical oscillator driven by single-electron tunnelling. Nat. Phys. 16, 75–82 (2020).
Blien, S., Steger, P., Híttner, N., Graaf, R. & Húttel, A. K. Quantum capacitance mediated carbon nanotube optomechanics. Nat. Commun. 11, 1636 (2020).
Vigneau, F. et al. Ultrastrong coupling between electron tunneling and mechanical motion. Phys. Rev. Research 4, 043168 (2022).
Gardner, J., Bennett, S. D. & Clerk, A. A. Mechanically probing coherent tunneling in a double quantum dot. Phys. Rev. B 84, 205316 (2011).
Bhattacharya, U., Grass, T., Bachtold, A., Lewenstein, M. & Pistolesi, F. Phonon-induced pairing in quantum dot quantum simulator. Nano Lett. 21, 9661–9667 (2021).
Samanta, C. et al. Nanomechanical vibrational response from electrical mixing measurements. Preprint at https://arxiv.org/abs/2207.02291 (2022).
Micchi, G., Avriller, R. & Pistolesi, F. Mechanical signatures of the current blockade instability in suspended carbon nanotubes. Phys. Rev. Lett. 115, 206802 (2015).
de Bonis, S. L. et al. Ultrasensitive displacement noise measurement of carbon nanotube mechanical resonators. Nano Lett. 18, 5324–5328 (2018).
Yang, W. et al. Fabry-Pérot oscillations in correlated carbon nanotubes. Phys. Rev. Lett. 125, 187701 (2020).
Laird, E. A. et al. Quantum transport in carbon nanotubes. Rev. Mod. Phys. 87, 703–764 (2015).
Acknowledgements
A.B. and C.B.M. acknowledge support from ERC advanced grant no. 692876; Marie Skłodowska-Curie grant agreement no. 101023289; MICINN grant nos. RTI2018-097953-B-I00 and PID2021-122813OB-I00; AGAUR (grant no. 2017SGR1664); the Quantera grant (PCI2022-132951); the Fondo Europeo de Desarrollo, the Spanish Ministry of Economy and Competitiveness through Quantum CCAA, TED2021-129654B-I00, EUR2022-134050 and CEX2019-000910-S (MCIN/AEI/10.13039/501100011033); MCIN with funding from European Union NextGenerationEU (PRTR-C17.I1); Fundacio Cellex; Fundacio Mir-Puig; Generalitat de Catalunya through CERCA; and 2021 SGR 01441. F.P. acknowledges the French ANR through contract SINPHOCOM (ANR-19-CE47-0012). Work performed at the Center for Nanoscale Materials, a US Department of Energy (DOE), Office of Science User Facility, was supported by the US DOE, Office of Basic Energy Sciences, under contract no. DE-AC02-06CH11357 (D.A.C.).
Author information
Authors and Affiliations
Contributions
C.S., S.L.D.B. and D.A.C. fabricated the devices with contributions from B.S. and B.T. C.S. and S.L.D.B. carried out the measurements with support from C.B.M., R.T.-Q., W.Y. and C.U. Y.J. provided the amplifier used in the measurements. F.P. developed the theory. C.S., S.L.D.B., F.P. and A.B. analysed the data. C.S., C.B.M., D.A.C., F.P. and A.B. wrote the manuscript with inputs from the other authors. A.B. supervised the work.
Corresponding author
Ethics declarations
Competing interests
The authors declare no competing interests.
Peer review
Peer review information
Nature Physics thanks Shabir Barzanjeh and the other, anonymous, reviewer(s) for their contribution to the peer review of this work.
Additional information
Publisher’s note Springer Nature remains neutral with regard to jurisdictional claims in published maps and institutional affiliations.
Extended data
Extended Data Fig. 1 Universal behavior of the temperature dependence of the resonance frequency expected by theory.
Contour plot on the plane ϵP/kBT − ω of the intensity of the spectrum Sxx(ω) in units of \({\epsilon }_{{{{\rm{P}}}}}/m{\omega }_{0}^{3}\). The spectrum is evaluated at a conductance peak; this is the well-known peak arising from single-electron tunneling in quantum dots as the gate voltage is swept. The thick continuous red line indicates the maximum of the spectrum, the dashed black lines indicates the values ω for which the intensity of the spectrum is reduced by a factor of 2 with respect to the maximum. The yellow dotted line is the prediction of Supplementary Equation 35 for the value of ωQ.
Extended Data Fig. 2 Charge stability diagram measurements at different temperatures.
Differential conductance of device I measured as a function of the source-drain voltage Vs and the gate voltage \({{{{\rm{V}}}}}_{{{{\rm{g}}}}}^{{{{\rm{dc}}}}}\) at different temperatures. The temperature of the cryostat is (a) 6 K, (b) 1 K, and (c) 15 mK.
Extended Data Fig. 3 Temperature calibration.
(a) Gate voltage dependence of the conductance of device I at T = 1 K. The red solid line is the fit to the data using Eq. (3). (b) The electron temperature of the device measured as a function of the cryostat temperature.
Supplementary information
Supplementary Information
Supplementary Sections IA–H and IIA–G, Equations (1)–(78), Figs. 1–11 and Table 1.
Source data
Source Data Fig. 3
Unprocessed source data.
Source Data Fig. 4
Unprocessed source data.
Source Data Fig. 5
Unprocessed source data.
Rights and permissions
Open Access This article is licensed under a Creative Commons Attribution 4.0 International License, which permits use, sharing, adaptation, distribution and reproduction in any medium or format, as long as you give appropriate credit to the original author(s) and the source, provide a link to the Creative Commons license, and indicate if changes were made. The images or other third party material in this article are included in the article’s Creative Commons license, unless indicated otherwise in a credit line to the material. If material is not included in the article’s Creative Commons license and your intended use is not permitted by statutory regulation or exceeds the permitted use, you will need to obtain permission directly from the copyright holder. To view a copy of this license, visit http://creativecommons.org/licenses/by/4.0/.
About this article
Cite this article
Samanta, C., De Bonis, S.L., Møller, C.B. et al. Nonlinear nanomechanical resonators approaching the quantum ground state. Nat. Phys. 19, 1340–1344 (2023). https://doi.org/10.1038/s41567-023-02065-9
Received:
Accepted:
Published:
Version of record:
Issue date:
DOI: https://doi.org/10.1038/s41567-023-02065-9
This article is cited by
-
Functional 2D MoS2 NEMS resonator array with independent electronic tunability based on mass transfer printing
Microsystems & Nanoengineering (2026)
-
A mechanical quantum memory for microwave photons
Nature Physics (2025)
-
Coupling a single spin to the motion of a carbon nanotube
Nature Communications (2025)
-
Finite element-based nonlinear dynamic optimization of nanomechanical resonators
Microsystems & Nanoengineering (2025)
-
Unconventional phonon blockade effect in array of three coupled weakly nonlinear nanomechanical resonators
Scientific Reports (2024)







