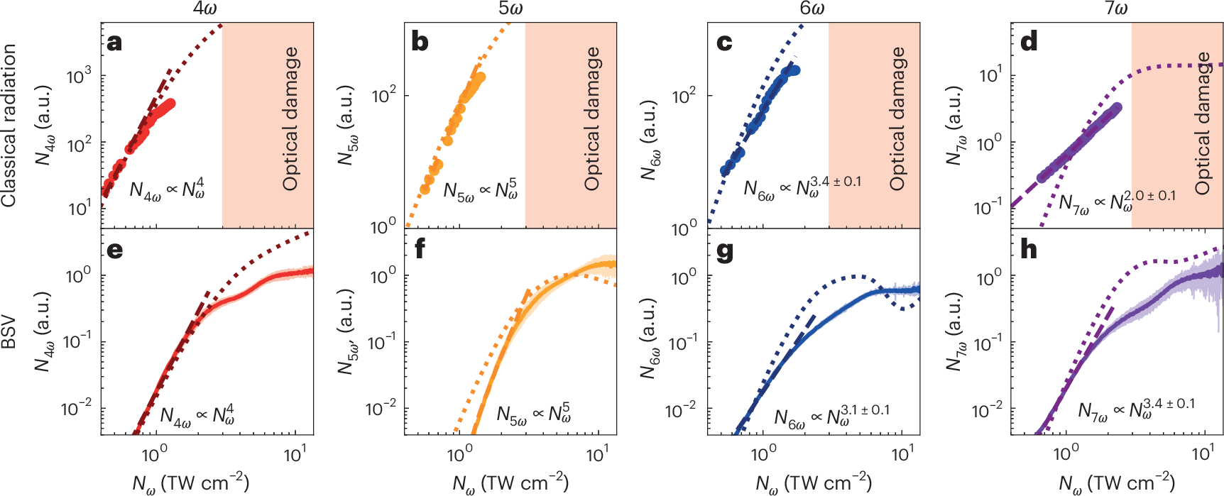
Fig. 3: Power scaling of the fourth to seventh harmonics generated in x-cut LN.

a–h, Power scaling of the fourth to seventh harmonics generated in x-cut LN using coherent radiation (a–d) and a BSV (e–h). Solid lines: mean photon number of the harmonics, with the shading indicating the photon-number uncertainty. Dotted lines: numerical simulation. Dashed lines: power-law fit. For coherent light excitation, the range above 3 TW cm−2 is inaccessible because of the sample damage.