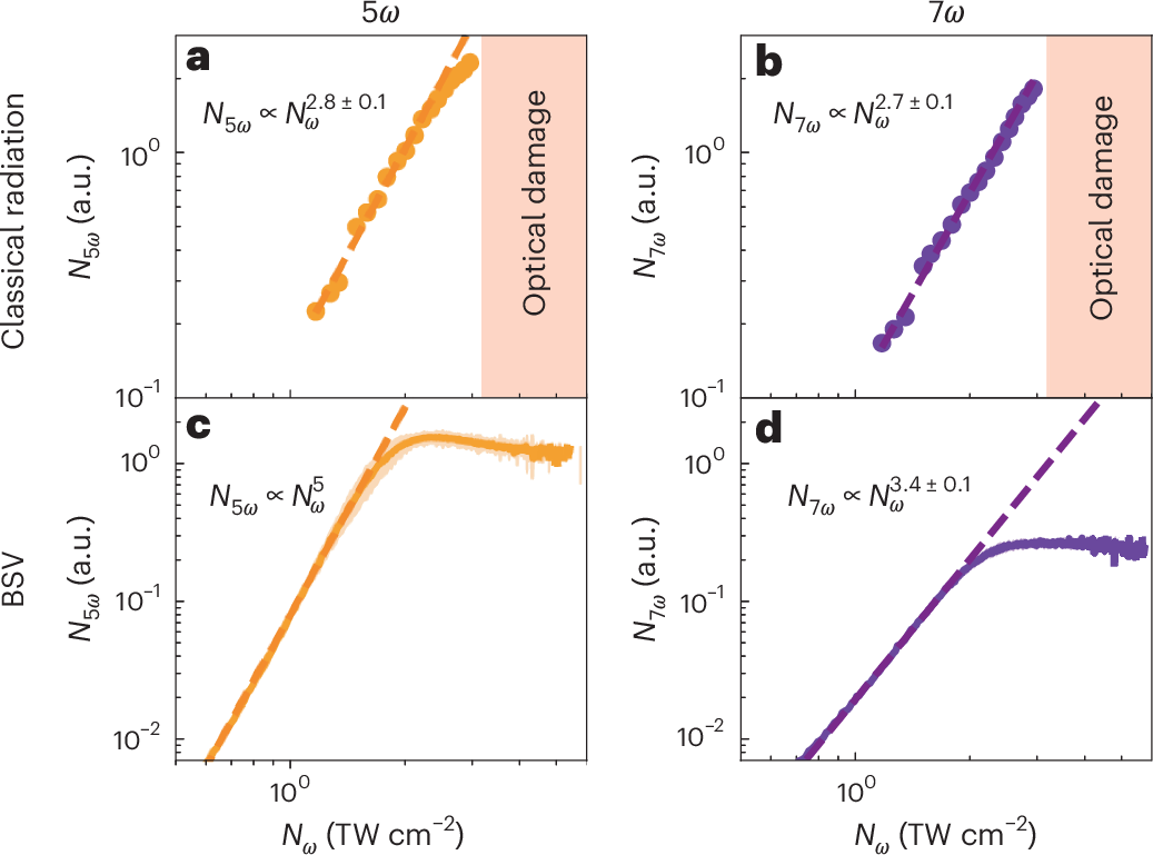
Fig. 4: Power scaling of the fifth and seventh harmonics generated in a-Si.

a–d, Power scaling of the fifth and seventh harmonics generated in a-Si using coherent radiation (a,b) and a BSV (c,d). Solid lines: mean photon number of harmonics, with the shading showing the photon-number uncertainty. For coherent light excitation, the range above 2 TW cm−2 is inaccessible because of the sample damage.