This is a preview of subscription content, access via your institution
Access options
Access Nature and 54 other Nature Portfolio journals
Get Nature+, our best-value online-access subscription
$32.99 / 30 days
cancel any time
Subscribe to this journal
Receive 51 print issues and online access
$199.00 per year
only $3.90 per issue
Buy this article
- Purchase on SpringerLink
- Instant access to the full article PDF.
USD 39.95
Prices may be subject to local taxes which are calculated during checkout

Data availability
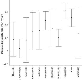
The data from the original study was forked from GitHub and reanalysed. The revised data analysis can be accessed at https://github.com/DavidGoldLab/2022-Dinosaur_metabolism.
References
Wiemann, J. et al. Fossil biomolecules reveal an avian metabolism in the ancestral dinosaur. Nature 606, 522–526 (2022).
Gillooly, J. F., Brown, J. H., West, G. B., Savage, V. M. & Charnov, E. L. Effects of size and temperature on metabolic rate. Science 293, 2248–2251 (2001).
Legendre, L. J., Guénard, G., Botha-Brink, J. & Cubo, J. Palaeohistological evidence for ancestral high metabolic rate in archosaurs. Syst. Biol. 65, 989–996 (2016).
Montes, L. et al. Relationships between bone growth rate, body mass and resting metabolic rate in growing amniotes: a phylogenetic approach. Biol. J. Linn. Soc. 92, 63–76 (2007).
Willer, P., Stone, G. & Jonston, I. Environmental Physiology of Animals, 2 edn (Blackwell Publishing, 2005).
Clemente, C. J., Withers, P. C. & Thompson, G. G. Metabolic rate and endurance capacity in Australian varanid lizards (Squamata; Varanidae; Varanus). Biol. J. Linn. Soc. 97, 664–676 (2009).
Traeholt, C. Effect of masking the parietal eye on the diurnal activity and body temperature of two sympatric species of monitor lizards, Varanus s. salvator and Varanus b. nebulosus. J. Comp. Physiol. 167, 177–184 (1997).
Garrick, D. Body surface temperature and length in relation to the thermal biology of lizards. Biosci. Horizons 1, 136–142 (2008).
Christian, K. A., & Conley, K. E. Activity and resting metabolism of varanid lizards compared with typical lizards. Aust. J. Zool. 42, 185–193 (1994).
Tattersall, G. J. et al. Seasonal reproductive endothermy in tegu lizards. Sci. Adv. 2, e1500951 (2016).
Nagy, K. A. Field metabolic rate and body size. J. Exp. Biol. 208, 1621–1625 (2005).
Owerkowicz, T., Farmer, C. C., Hicks, J. W. & Brainerd, E. L. Contribution of gular pumping to lung ventilation in monitor lizards. Science 284, 1661–1663 (1999).
Oakley, T. H. & Cunningham, C. W. Independent contrasts succeed where ancestor reconstruction fails in a known bacteriophage phylogeny. Evolution 54, 397–405 (2000).
Webster, A. J. & Purvis, A. Testing the accuracy of methods for reconstructing ancestral states of continuous characters. Proc. R. Soc. B 269, 143–149 (2002).
Revell, L. J. & Harmon, L. J. Phylogenetic Comparative Methods in R (Princeton Univ. Press, 2022).
Author information
Authors and Affiliations
Contributions
R.M. drafted the manuscript in consultation with G.J.V. D.A.G. reanalysed the data, drafted the paragraph concerning the reanalysis and edited the rest of the manuscript. S.J.C. initiated the discussion and edited the manuscript. G.J.V. motivated the writing of the manuscript and edited it. All authors actively engaged in discussions of the subject matter.
Corresponding author
Ethics declarations
Competing interests
The authors declare no competing interests.
Additional information
Publisher’s note Springer Nature remains neutral with regard to jurisdictional claims in published maps and institutional affiliations.
Rights and permissions
About this article
Cite this article
Motani, R., Gold, D.A., Carlson, S.J. et al. Amniote metabolism and the evolution of endothermy. Nature 621, E1–E3 (2023). https://doi.org/10.1038/s41586-023-06411-y
Received:
Accepted:
Published:
Version of record:
Issue date:
DOI: https://doi.org/10.1038/s41586-023-06411-y
This article is cited by
-
Taphonomic variation in vascular remains from Mesozoic non-avian dinosaurs
Scientific Reports (2025)