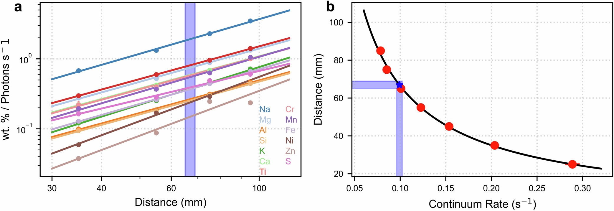
Extended Data Fig. 5: Distance dependence of line intensity and distance estimation from continuum rate.
From: Chandrayaan-3 APXS elemental abundance measurements at lunar high latitude

a, Slope of the line intensity–abundance correlation, which is wt% per unit photons per second, of different elements as a function of the sample distance. Data points are the slope values; the solid lines show the power laws that fit them. b, Continuum rates (sum of count rates in 22.4–24.2-keV energy range) obtained for different geochemical reference materials are shown as a function of distance with the red data points and the black line shows the best-fit model. The continuum rate from lunar observation for observation ID 18, along with its error, is plotted on the curve to estimate the respective distance. The blue-shaded regions show uncertainties in the continuum rate and corresponding uncertainty in distance estimates. Uncertainties in the estimated distance are then propagated to abundance measurements through correlation parameters.