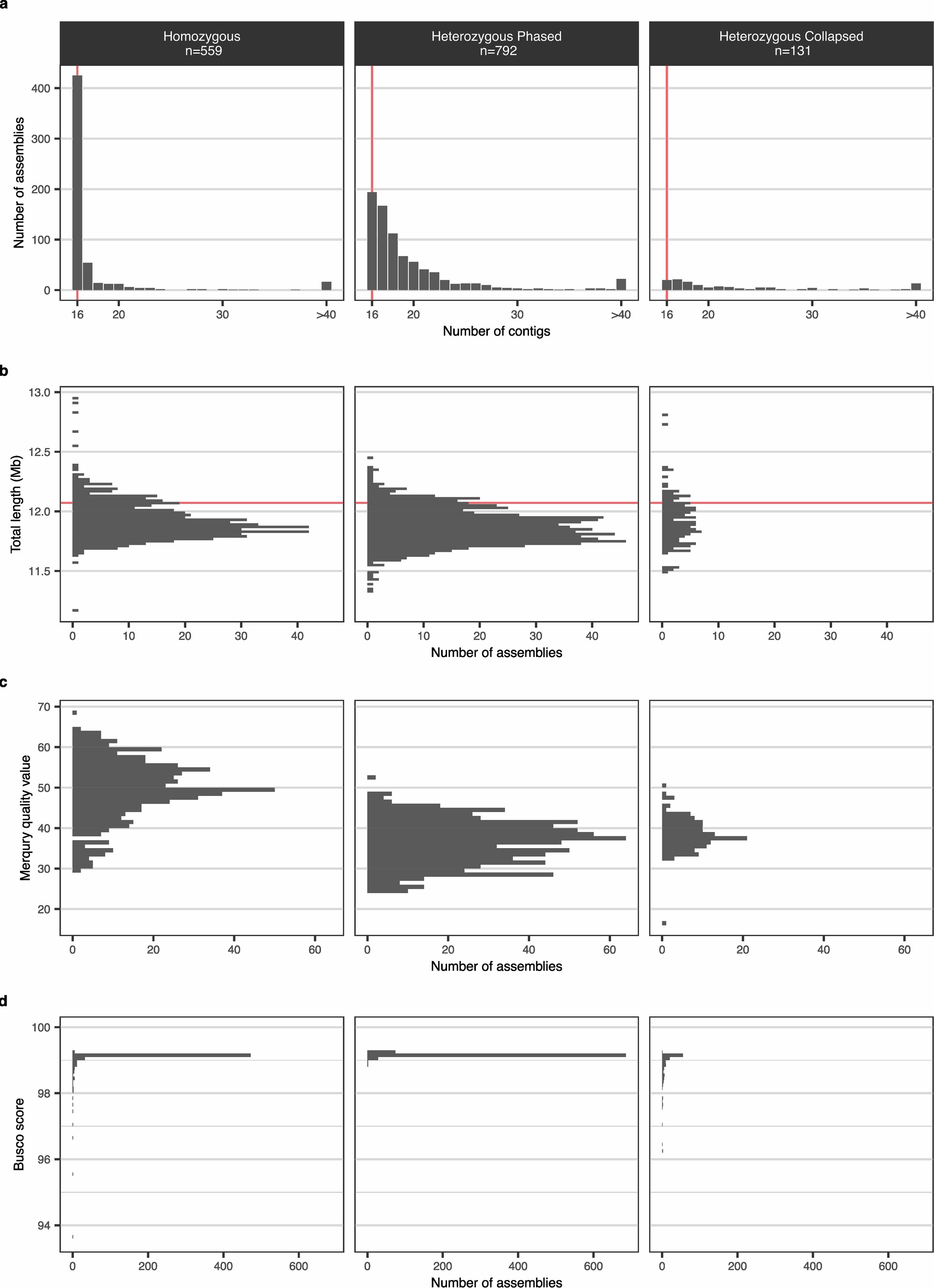
Extended Data Fig. 1: Statistics for 1,482 genome assemblies.
From: From genotype to phenotype with 1,086 near telomere-to-telomere yeast genomes

Each statistic is given according to the zygosity of the isolate and the phasing status of the assembly (homozygous isolates (n = 559), haplotype-resolved assemblies of heterozygous isolates (n = 792) and collapsed assemblies of heterozygous isolates (n = 131)). a. Distribution of the number of contigs per assembly. The red line corresponds to the number of chromosomes in the reference genome. b. Distribution of the total assembly length. The red line corresponds the reference genome length. c. Distribution of the Merqury quality value, which correspond to a Phred quality score. d. Distribution of the BUSCO score per isolate.