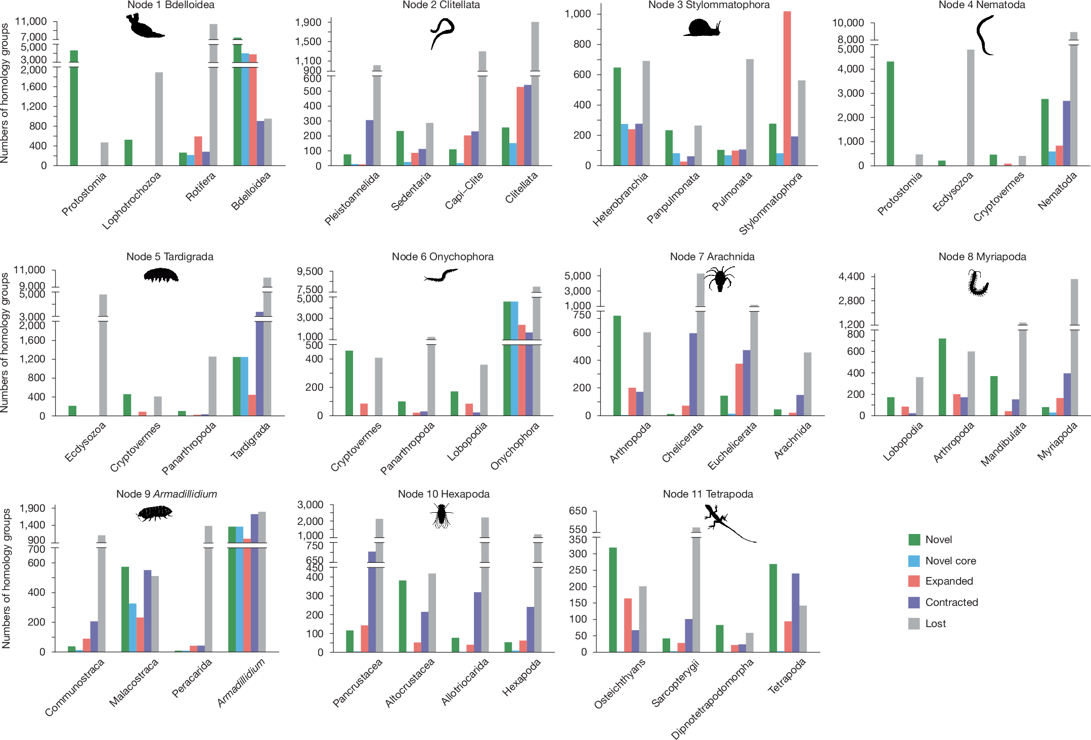
Fig. 2: Comparison of HG content across terrestrial nodes and their ancestors.
From: Convergent genome evolution shaped the emergence of terrestrial animals

A total of 154 genomes were analysed to infer HGs and reconstruct ancestral states. Each bar chart represents one terrestrial event node and its three immediate ancestors. For each node, five categories of HGs are quantified: novel, novel core, expanded, contracted and lost. The y axis indicates the number of HGs in each category of each clade. Organism silhouettes (sourced from phylopic.org and the authors, released under public domain dedication (CC0 1.0 Universal)) represent 11 terrestrial events.