Abstract
The challenges associated with the transition of life from water to land are profound1, yet they have been met in many distinct animal lineages2,3,4,5. These constitute a series of independent evolutionary experiments from which we can decipher the role of contingency versus convergence in the adaptation of animal genomes. Here we compare 154 genomes from 21 animal phyla and their outgroups to reconstruct the protein-coding content of the ancestral genomes linked to 11 animal terrestrialization events, and to produce a timescale of terrestrialization. We uncover distinct patterns of gene gain and loss underlying each transition to land, but similar biological functions emerged recurrently pointing to specific adaptations as key to life on land. We show that semi-terrestrial species evolved convergent functional patterns, in contrast with fully terrestrial lineages that followed different paths to land. Our timeline supports three temporal windows of land colonization by animals during the last 487 million years, each associated with specific ecological contexts. Although each lineage exhibits distinct adaptations, there is strong evidence of convergent genome evolution across the animal kingdom suggesting that, in large part, adaptation to life on land is predictable, linking genes to ecosystems.
Similar content being viewed by others
Main
The colonization of land by life is one of the most notable transitions in the history of Earth, substantially shaping modern ecosystems, life forms and the planet itself1. Terrestrialization has occurred multiple times independently within the animal kingdom, including among arthropods5, vertebrates4, rotifers2, molluscs6, annelids2, nematodes2, tardigrades7 and onychophorans3. Nevertheless, each of these natural experiments in terrestrialization had to overcome similar physiological and environmental challenges2. Phenotypic adaptations—such as water-retentive skin or cuticle2, adapted immune systems8, changes in skeletal design and locomotion2, elevated metabolic rates9, developmental adaptations (such as encapsulated larvae and brooding) and adaptation of vision in aerial environments10—show widespread convergence across terrestrial lineages, suggesting largely predictable responses to similar environmental pressures. At the genotype level, recent studies have shown that genomic changes, including gene innovation11, duplication12 and loss13, were crucial to major metazoan evolutionary transitions. Furthermore, specific genes (for example, aquaporin-coding genes) have been linked to terrestrialization in several clades14, and genomic changes have been associated with individual lineages15,16,17,18; these support the roles of genes related to metabolism, stress response, osmoregulation and immunity in terrestrialization. However, in comparison to land plants19, the genomic basis of terrestrialization across animal lineages remains largely uncharacterized. These parallel natural experiments provide a unique opportunity to determine whether terrestrialization has led to lineage-specific contingent genomic adaptations or whether these are predictable changes in response to the same environmental challenges.
Here we apply a comparative genomics pipeline to a dataset of 154 genomes to explore the role of convergence and contingency in the evolutionary response of animal genomes to the process of terrestrialization, and to establish the timeline of acclimatization of animals to land. Our results reveal that independent terrestrial events were driven by the emergence of similar biological functions, although semi-terrestrial and fully terrestrial lineages exhibit different patterns of genomic adaptation to terrestrialization. We identify three temporal windows in which animals colonized land, offering a new chronological framework for these transitions.
Genome dynamics in terrestrialization
We designed an approach that we named intersection framework for convergent evolution (InterEvo), which identifies the intersection of biological functions between different sets of genes that were independently gained or reduced in different nodes along the phylogeny (Extended Data Fig. 1 and Methods). In brief, we mined 154 genomes—151 from 21 animal phyla and 3 from non-animal holozoans (Fig. 1, Extended Data Fig. 2 and Supplementary Table 1)—and filtered them by completeness. These represent the diversity of animals and our sampling focuses on species flanking nodes that represent terrestrialization events. In this dataset, we identified 11 such events20 (Fig. 1): node 1 bdelloid rotifers, node 2 clitellate annelids, node 3 Stylommatophora (land gastropods), node 4 nematodes (roundworms), node 5 tardigrades (water bears), node 6 onychophorans (velvet worms), node 7 arachnids, node 8 myriapods (centipedes and millipedes), node 9 Armadillidium (woodlice), node 10 Hexapoda (insects and allies) and node 11 tetrapods (land vertebrates). For Onychophora, Tardigrada and Malacostraca (Armadillidium), only one or two genomes were available at the time of starting these analyses.
The phylogeny is based on 154 sampled taxa, with taxon sampling numbers shown after clade names in parentheses. Terrestrial events are highlighted in green text. HG content of terrestrial nodes is displayed in each corresponding box (from left to right, top to bottom: novel HGs, novel core HGs, expanded HGs, contracted HGs and lost HGs). Branch lengths are scaled to evolutionary time, with divergence times and 95% highest posterior density intervals indicated for terrestrial nodes. Organism silhouettes (sourced from phylopic.org and the authors, released under public domain dedication (CC0 1.0 Universal)) represent the 11 terrestrial events. Geological time abbreviations are as follows: Neop., Neoproterozoic (part); Camb., Cambrian; Ord., Ordovician; Sil., Silurian; Dev., Devonian; Carb., Carboniferous; Perm., Permian; Tri., Triassic; Palg., Paleogene; Ng., Neogene; Q., Quaternary. Myr, million years.
The 3,934,362 protein sequences from these genomes were clustered into 483,458 homology groups (HGs), groups of proteins that have distinctly diverged from other groups, comprising orthologues and/or paralogues21. Using a previously described approach11,13,19, we reconstructed the HG content for the key nodes in the tree and classified the HGs based on their mode of evolution: gene gains (novel, novel core and expanded) and gene reductions (contracted and lost). Novel HGs are those that are present in the ingroup and absent in all the outgroups, with core HGs being present in all the species of the ingroup (permitting one absence). Lost HGs are those that are absent in the ingroup but present in the sister groups and other species in outgroup. Finally, we used CAFE522 to infer expanded or contracted HGs, which are those presenting an increase or reduction, respectively, in the number of gene copies (more detailed definitions are provided in Methods and Supplementary Table 2).
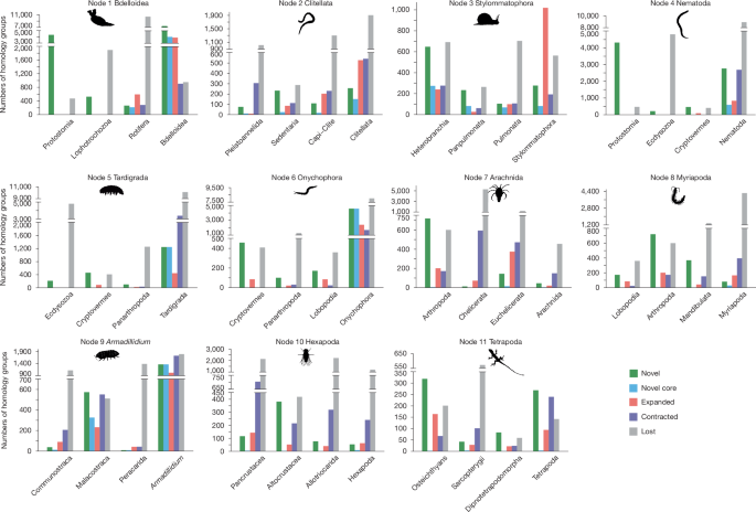
Terrestrialization nodes are characterized by a large turnover of gene gains and reductions (Fig. 2). All terrestrial lineages display large gene gains (novel genes and expansions) compared to their immediate ancestors, except arachnids, hexapods and the novel genes in myriapods. Novelty is much higher in bdelloid rotifers, nematodes, tetrapods and land gastropods, the latter only in gene expansions, a finding supported by a previous study15. Similarly, terrestrial gene reduction (losses and contractions) is pervasive except in arachnids and hexapods; there is no increase in gene loss in land gastropods, tetrapods and bdelloid rotifers, the latter probably due to the massive losses in the last common ancestor (LCA) of the sampled rotiferans. Nematoda, Tardigrada and Onychophora show the largest gene losses, in agreement with previous studies12,13, together with Rotifera. Although sparse taxon sampling and the fast-evolving nature of some lineages can inflate gene turnover estimates13,23, the pattern persists after normalization by divergence time, measured as the accumulation of novel and novel core HGs per million years (Supplementary Table 3). Expansion and contraction need no correction as the birth–death model is intrinsically scaled by branch length. For the significance of gene turnover, a permutation test confirmed that the observed novel gene rates found in terrestrial lineages are significantly higher than in aquatic nodes (P = 0.0015; Extended Data Fig. 3a and Supplementary Information section 1.1.1). In summary, most terrestrialization events seem to display high levels of gene turnover, reflecting genome plasticity24 during the animal transition from water to land associated with new environmental challenges. Arachnids and hexapods show lower levels of plasticity, which may indicate that their evolution was dominated by gene co-option instead.
A total of 154 genomes were analysed to infer HGs and reconstruct ancestral states. Each bar chart represents one terrestrial event node and its three immediate ancestors. For each node, five categories of HGs are quantified: novel, novel core, expanded, contracted and lost. The y axis indicates the number of HGs in each category of each clade. Organism silhouettes (sourced from phylopic.org and the authors, released under public domain dedication (CC0 1.0 Universal)) represent 11 terrestrial events.
Convergent functions via gene gains
To infer functional convergence across the 11 terrestrial events, we annotated the functions of their novel and novel core HGs using both gene ontology (GO)25,26 and Pfam protein domains27. The number of shared GO terms among at least ten nodes are shown in Fig. 3a and shared Pfams among at least five nodes are shown in Fig. 3c. For novel HGs, there are 118 GO terms shared by different combinations of at least 10 nodes (green bars in Fig. 3a; Supplementary Table 4 and Supplementary Fig. 1), and 26 for novel core HGs (blue bars in Fig. 3a, and Supplementary Table 4). Our analyses show that novel gene families that emerged independently in different terrestrialization events are involved in osmosis (regulation of water transport in cells), metabolism (namely fatty acids, probably related to changes in diet), reproduction, detoxification, sensory reception and reaction to stimuli. All gene families reported here stem from the genome-wide comparative analysis of every HG, and none was chosen a priori.
a, Distribution of shared GO terms of gene novelty across terrestrialization. Bars indicate the number of GO terms from novel HGs and novel core HGs shared by at least ten terrestrial nodes. The UpSet diagram was generated using the UpSetR R package60. b, Tree map visualization of GO terms from novel HGs shared across terrestrialization. The 55 most specific GO terms from the 118 shared novel HGs are grouped into 3 major GO categories: biological processes, cellular components, and molecular functions. Tree maps were generated with REVIGO61. The hierarchical layout illustrates the relationships among GO terms within each category. c, Distribution of shared Pfam domains of gene novelty across terrestrialization. Bars indicate the number of Pfam domains from novel HGs (green) and novel core HGs (blue) shared by at least five terrestrial nodes, the orange bar indicates only one Pfam domain shared among fully terrestrial lineages. These Pfams are labelled above the bars using short names.
The 55 ‘most specific’ (‘bottom’ in the GO hierarchy) GO functions (Fig. 3b) in novel HGs include locomotion, membrane ion transport and transporter activity (osmosis), response to stimulus and neuronal functions (detection and reaction to stimulus), as well as metabolic, reproductive and developmental processes (lifecycle and diet adaptations). Additionally, cellular components include plasma membrane (related to better nutrient uptake, cell barriers and detoxification in adaptation to life on land28) and protein-containing complex (a crucial factor of membrane protein insertion29). Pfam domains echo these functions, recovering osmoregulation by neurotransmitter-gated ion channel domains, stimulus and neuronal functions by transmembrane receptor, and detoxification by cytochrome P450 (Fig. 3c). Moreover, the total number of HGs performing these functions also increased in terrestrial nodes (Supplementary Information section 1.2.1 and Extended Data Fig. 4), especially in Bdelloidea, Clitellata, Tardigrada, Onychophora, Armadillidium and Tetrapoda. Genes encompassed by these GO terms in humans (tetrapods) and the fruit fly (hexapods) also highlight the importance of biological functions linked to terrestrialization (Extended Data Table 1 and Supplementary Information section 1.2.2). Biological functions specific to terrestrial nodes further support these key adaptations to survival in terrestrial environments. Unique GO or unique Pfams are GO terms or Pfams associated with novel genes that are present in terrestrial nodes that are absent in the GO terms or Pfams of their ancestor nodes (Supplementary Figs. 2 and 3). All nodes except bdelloid rotifers and arachnids contain unique GOs, and all except stylommatophorans and arachnids contain unique Pfams. Shared unique GOs and Pfams are related to metabolism (fatty acid metabolism and kinase activity) and ion transport, which would have helped terrestrial animals maintain water and osmotic balance30 and allow them to interact with new terrestrial environments, diets and adapt their life cycles. Although some functions of terrestrial novel genes represent exaptations from freshwater ancestors (Supplementary Fig. 4 and Supplementary Table 5), these novel genes remain functionally distinct from genes in aquatic lineages (Extended Data Fig. 3b and Supplementary Information section 1.1.2). Also, some functions appear to be contingent, being gained early and later lost in terrestrial events (Supplementary Fig. 5 and Supplementary Table 6).
For gene families predating these transitions, we investigated the presence of convergent gene expansions and contractions across the terrestrialization events using CAFE522. These gene families are shared with aquatic ancestors and relatives, so their convergent change in gene repertoire is an indication of parallel exaptations. Our analysis revealed ten HGs that significantly expanded their gene copy numbers in different combinations of four terrestrial nodes (Fig. 4a and Supplementary Table 7); no shared expanded HGs were found in more than four events. These convergently expanded gene families are involved in detoxification, oxidative stress, metabolism and reception of stimuli. Notable examples include the gene families cytochrome P450, which has crucial roles in xenobiotic metabolism particularly in the digestive tract31; flavin-containing monooxygenases, essential for processing toxic plant metabolites32; and glutathione S-transferase, which reduces reactive oxygen species and shows contraction in cetaceans33. We also find expansions in the G-protein-coupled receptor family, which is crucial for sensing environmental stimuli such as odours and light34. GO term enrichment analysis of expanded HGs, using the bilaterian ancestral genes as background, further supported the importance of stimulus response and ion transport functions in terrestrialization (Supplementary Information section 1.2.3, Supplementary Fig. 6 and Supplementary Table 8).
a, Shared expanded HGs across terrestrial nodes. b, Shared contracted HGs across terrestrial nodes. The UpSet diagrams show the intersections of HGs across different combinations of 11 terrestrial nodes. Bars indicate shared expanded and contracted HGs among at least four terrestrial events (green), semi-terrestrial events (blue), and fully terrestrial events (orange). Semi-terrestrial and fully terrestrial groups are differentiated by blue and orange in set sizes (bottom left). HGs with no more than three members are labelled above the bars, other HGs are listed in Supplementary Table 7 (expanded) and Supplementary Table 10 (contracted). Approaches for HGs expansion and contraction inference and functional annotations are described in the Methods.
In summary, our results suggest that gene gains (novel, novel core and expanded gene families) are a key driver across all the transitions from water to land, indicating that functions such as response to stimuli, oxidative stress, lipid metabolism and ion transporter activity had an important role in these adaptive processes.
Gene reduction marks land adaptation
Gene reduction is another important genetic change in terrestrial events, including lost and contracted genes. Lost HGs are relatively higher in number than gene gains in most nodes (Fig. 2). We identified lost HGs shared in terrestrial events (Supplementary Fig. 7 and Supplementary Table 9) and found the Dbl-homology domain gene family lost in 8 out of 11 terrestrial events, and the pleckstrin-homology domain gene family lost in 7 out of 11 terrestrial events; these are retained mainly in bdelloids, stylommatophorans, myriapods and tetrapods. For reference, there are no gene families convergently expanded or contracted in more than four nodes (Fig. 4), thus finding lost HGs in seven or eight terrestrial nodes is remarkable. Both domains are components of guanine nucleotide exchange factors of Rho GTPases (RhoGEF), implicated in regeneration (neurons35 and muscles36) and wound healing37. Other lost HGs among terrestrial events include chlorophyllase protein family (chlorophyll degradation38), potentially indicating dietary shifts during land colonization, and the Shugoshin C-terminal domain-containing protein, which regulates chromosome cohesion and segregation during meiosis and is involved in reproduction39.
Gene families showing convergent reduction in copy number also point to key adaptations to life on land. There are four HGs that are convergently contracted in at least four terrestrial lineages (green bars in Fig. 4b, and Supplementary Table 10): chloride channel protein members (osmoregulation40), two different carbohydrate sulfotransferases (extracellular communication and adhesion41), and melatonin-related receptors (circadian rhythms42).
Semi versus fully terrestrial lineages
We categorized the terrestrial lineages as semi-terrestrial or fully terrestrial according to their dependence on water, as no consensus definition of terrestriality is universally accepted. Semi-terrestrial animals rely on humid environments to avoid drying out, and include bdelloid rotifers, nematodes, tardigrades and some microscopic annelids, which require a film of water or pore spaces to live in43, as well as onychophorans and other annelids (such as clitellates). Fully terrestrial animals are less water-dependent, and encompass lineages such as land gastropods44, Arachnida, Myriapoda, Armadillidium (woodlice), Hexapoda5 and Tetrapoda. We compared GO and Pfam compositions associated with novel genes of terrestrial animal clades to capture function variation, performing both principal component analysis (PCA; Supplementary Fig. 8) and principal coordinates analysis (PCoA; Fig. 5 and Supplementary Information section 1.3). In the PCoA based on Jaccard dissimilarity, semi-terrestrial and fully terrestrial groups showed partial separation, and permutational multivariate analysis of variance (PERMANOVA) confirmed significant differences between the two groups with both GO terms (Fig. 5a; R2 = 0.0995, P < 0.01) and Pfams (Fig. 5b; R2 = 0.0992, P < 0.01); group dispersions did not differ (GOs: P = 0.128; Pfams: P = 0.064). The enriched novel gene functions reveal that semi-terrestrial species carry an expansive and versatile toolkit for environmental flexibility, emphasizing cuticle remodelling, visual development and stress response, while fully terrestrial species display a small and streamlined set centred on neuronal development and ion membrane homeostasis vital for permanent colonization (Supplementary Table 11).
a, PCoA of Jaccard dissimilarities based on GO terms presence/absence profiles. b, PCoA of Jaccard dissimilarities based on Pfams presence/absence profiles. Each dot represents 1 of the 61 sampled terrestrial species, coloured by taxonomic group as indicated in the legend. Distances between dots correspond to Jaccard dissimilarities. Statistical ellipses highlight the semi-terrestrial group (orange; including Bdelloidea, Clitellata, Nematoda, Tardigrada and Onychophora) and the fully terrestrial group (green; including Stylommatophora, Arachnida, Myriapoda, Armadillidium, Hexapoda and Tetrapoda). Ellipses were generated using normal distribution parameters to visualize clustering patterns of taxonomic groups (95% confidence). The two axes represent the first two principal coordinates (PCoA1 and PCoA2) with their respective explained percentages of variation. Group separation was tested with PERMANOVA, which showed the significant differences between semi- and fully terrestrial groups for GO terms (R2 = 0.0995, P < 0.01) and Pfam domains (R2 = 0.0992, P < 0.01). Group dispersions did not differ (GOs: P = 0.128; Pfams: P = 0.064). Approaches for functional annotations are described in the Methods.
Notably, consistent with this expansive-versus-streamlined enrichment pattern, semi-terrestrial groups share broad biological functions whereas fully terrestrial lineages show little overlap. Gene gains (Supplementary Information sections 1.3.2 and 1.3.3 and Supplementary Fig. 9 for novel genes, Fig. 4a and Supplementary Table 7 for expanded genes) across semi-terrestrial lineages converged on crucial functions for land adaptation, including circulatory system development, osmoregulation, nutrient processing, muscle function, energy metabolism, detoxification and sensory response mechanisms. These adaptations enabled essential physiological processes required for semi-terrestrial animals to cope with soil-dependent environments, from basic survival needs such as gas exchange, locomotion and nutrient uptake to environmental challenges such as osmotic stress and exposure to pollutants. By contrast, fully terrestrial lineages show limited convergence in the functions associated with gene novelty, with no shared GO terms and only one Pfam domain among novel genes and few shared expanded HGs (Figs. 3c and 4a, Supplementary Fig. 9 and Supplementary Information section 1.3.4). Most shared adaptations among fully terrestrial lineages are found in arthropods, where each terrestrial lineage emerged independently from aquatic ancestors that likely started from a similar genetic toolkit and evolved parallel streamlining later. Only glucose transport and stimulus sensing mechanisms are shared between woodlice and land snails, suggesting that fully terrestrial lineages probably evolved through diverse rather than common adaptive patterns. In addition, both semi-terrestrial and fully terrestrial lineages display diverse gene reduction patterns, with few shared reductions (Fig. 4b for contraction, Supplementary Fig. 7 and Supplementary Table 14 for lost genes) except within arthropods, indicating low convergence of gene reduction across both habitat categories.
Unique adaptations in terrestrial events
By uncovering novel core and exclusively expanded HGs, we inspected the gene functions associated with each of the 11 terrestrial nodes (Supplementary Information section 1.4 and Supplementary Tables 15–18). These include stress-response genes in bdelloid rotifers, nervous system and muscle adaptations of clitellates, shell formation, mucus secretion and estivation genes in land snails, and cuticle-related genes in nematodes. Tardigrades exhibit unique stress-resistance genes, whereas onychophorans share traits such as oxygen adaptation and nutrient uptake with woodlice. Arthropods and tetrapods, as well-studied terrestrial lineages, were further explored for their distinct adaptations.
Arthropods, the most diverse animal phylum, originated in the sea and colonized the land multiple times independently. In this study, we focus on the fully terrestrial clades Hexapoda, Myriapoda and Arachnida and the crustacean Armadillidium5 (Supplementary Information section 1.4.7). These lineages exhibit convergent evolution of traits for terrestrial adaptation, such as exoskeleton structure, water conservation and sensory development (Fig. 4a and Supplementary Table 7). For instance, myriapods and hexapods expand gene families linked to the synthesis of the exoskeleton wax layer responsible for waterproofing45. Similarly, retinol-binding protein genes required in the retinal pigment cells expanded in arthropods to adapt their vision to light conditions on land46. Hexapods5 show enriched GO annotations in expanded genes (Supplementary Table 15) related to moulting (for example, terpenoid metabolic process, juvenile hormone metabolic process, sesquiterpenoid metabolic process and steroid metabolic process) and vision (for example, rhodopsin biosynthetic process).
The other major lineage of terrestrial animals is land vertebrates (Supplementary Information section 1.4.8), which show both novel and expanded genes with enriched GO annotations related to immunity functions (Supplementary Table 18 for novel HGs, Supplementary Tables 15 and 16 for expanded HGs): T cell co-stimulation, positive regulation of activated T cell proliferation, and innate immunity-related processes (for example, neutrophil degranulation and specific granule lumen). Similar innate immunity functions are also found in expanded gene families, such as the Ly-6/uPAR family, siglecs, mucins and resistin. Previous studies have also supported innate immunity as crucial to evolving a specialized and reinforced epidermis with an active keratinization process and a resistant outer stratum corneum47. These defend against pathogens that spread in the terrestrial environment, forming both physical and chemical barriers48, as evidenced by our study.
Temporal windows of terrestrialization
The invasion of land by life influenced global biogeochemical cycles through effects on carbon storage and weathering, representing a notable milestone in the evolutionary history of the planet1. Land plant colonization paved the way to new habitats for animals and fungi and produced the emergence of new ecosystems49. Molecular timescales estimate the age of lineages, including soft-bodied animals that may not be well-represented in the fossil record. Here we focus on the terrestrialization events for which we have more than one taxon or genome. Our molecular evolutionary timescale (Fig. 1) is congruent with other recent studies50 and shows that the animal conquest of land occurred in three major temporal windows. These windows might not overlap and may be separated by millions of years, each contributing to the complexity of terrestrial ecosystems.
The first temporal window of terrestrialization occurred between the Middle Cambrian and Middle Ordovician epochs. Early land plants emerged49 approximately 515.0–473.6 million years ago (Ma), quickly followed by nematodes and arthropods. Our study suggests that nematodes (533.9–421.9 Ma), myriapods (521.9–402.8 Ma), hexapods (487.6–436.9 Ma) and arachnids (489.7–435.2 Ma) were among the first animals to transition to land, overlapping the rise of early land plants; an arthropod-focused study similarly reports temporal concordance5. A study estimated the origin of nematodes between Ediacaran and Silurian periods51 (620–455 Ma), overlapping, or even preceding, our interval. These early terrestrial species developed traits helping mitigate desiccation and providing structural support, including the arthropod exoskeletons and the nematode cuticles. In our analyses, gene gains in these lineages shared functions associated with cuticle formation, exoskeleton maintenance and lipid metabolism, as well as involvement in responses to drought, excessive light and oxidative stress (Supplementary Table 19), consistent with selection for water conservation and stress tolerance in patchy, intermittently wet terrestrial settings shaped by cryptogamic and bryophyte covers52.
The second temporal window of terrestrialization spans the Late Devonian to Early Carboniferous subperiod, a time of episodic flooding, deepening soils and strongly seasonal wetlands53. In this ecological setting, clitellate annelids (464.5–262.8 Ma) and the first tetrapods (351.2–337.7 Ma) independently adapted to land. The first land vertebrates evolved limbs for locomotion, lungs for aerial respiration and skin barriers to minimize water loss4. Clitellates adapted their nervous and muscular systems to cope with terrestrial challenges, enhancing locomotion and desiccation resistance. These species contributed to the establishment of modern terrestrial niches by enhancing nutrient cycling, improving soil structure and influencing ecosystem communities, thereby laying the conditions for further evolutionary innovations in terrestrial life. The floodplains of this period likely provided the ecological opportunities and selection pressures that drove these terrestrial transitions.
The third temporal window of terrestrialization, between 130–86 Ma during the Cretaceous period, saw bdelloid rotifers (180.9–78.4 Ma) and land gastropods (127.1–39.3 Ma) making their way onto land and sharing it with dinosaurs, as well as early mammals and birds. Bdelloid rotifers evolved exceptional stress tolerance mechanisms, including resistance to desiccation, extreme temperatures, and radiation, enabling them to thrive in harsh environments. Meanwhile, terrestrial snails developed adaptations such as shell formation, mucus secretion, and estivation to withstand diverse climatic conditions. At the molecular level, both clades exhibit gene expansions (Supplementary Table 19) in HGs, including ammonium transporters for water and ion homeostasis, NADP-dependent oxidoreductases54 and G-protein-coupled receptors for stress resistance. These shared adaptations are likely to reflect Cretaceous greenhouse landscapes, characterized by high sea levels, angiosperm expansion, coastal wetlands and seasonally dry microhabitats55 that favoured water and ion conservation and broad stress tolerance.
Discussion
We applied comprehensive comparative genomic analysis to uncover the convergent evolutionary processes underlying 11 independent terrestrialization events. Our results reveal that these are marked by extensive gene turnover across all 11 lineages, adaptations to terrestrial environments. We found that terrestrial events generally display a high level of genomic novelties, mainly related to osmoregulation, stress response, immunity, sensory reception, metabolism and reproduction. We found shared ion transport functions in gene novelty, supporting their critical role in the adaptation from water to land by maintaining water and ionic balance. This is especially crucial for animals adapting to low-salinity and dry environments, as it involves changes in osmoregulation to maintain ion and water homeostasis and prevent water loss. Gene reductions show notably large numbers in terrestrial lineages, with some convergent losses of genes related to regeneration56. Although all terrestrial lineages exhibit a certain degree of convergent functional evolution, semi-terrestrial lineages share functional and molecular features, whereas fully terrestrial animals do not. However, it should be noted that habitat classifications are diverse and not universal. For example, another classification, including cryptic forms, poikilohydric organisms and homoiohydric organisms, categorizes Myriapoda and woodlice as cryptic forms2, whereas here they are classified as fully terrestrial5. More comparisons using various classifications are needed in the future. In addition to the convergent emergence of biological functions, each terrestrial lineage exhibits unique adaptations to land. The distinct features indicate the various genomic pathways to thrive in terrestrial environments. Additionally, three major temporal windows of terrestrialization identified by our molecular timescale occurred during the Ordovician, Devonian–Carboniferous and Cretaceous periods. These windows were potentially driven by major ecological and geological changes, forming new terrestrial niches. These results largely support the temporal congruence between the rise of land plants and the first window of terrestrial animals, providing new insights into the tempo of terrestrialization. There are interesting convergences between the adaptation to life on land by plants and terrestrial animals19. Plants also evolved genes linked to adaptations to life outside of the water similarly to animals, such as lignin to avoid desiccation and environmental responses (abscisic acid, salicylic acid and jasmonic acid). However, they also present new genes related to UV light protection, a signal that is not observed in animals.
The study faces certain limitations, such as the classification of terrestrialization highlighted above. Moreover, annotating lost and contracted genes poses challenges as these are lost in the most common model organisms, which are the reference for many functional annotations. For example, a significantly contracted HG in nematodes contains no gene copies in Caenorhabditis elegans and only a few poorly annotated copies in other nematodes. Functional analysis for such HGs often relies on distant homologues in humans or fruit flies, which may not accurately reflect functions owing to substantial sequence divergence across lineages. In more extreme cases, where the HGs are lost in traditional model organisms, annotation becomes virtually impossible. Similarly, many lost genes are classified as uncharacterized proteins, reflecting their absence in well-studied terrestrial models. Another methodological limitation is that we did not determine whether gene duplications occurred at the terrestrial nodes or independently within lineages, as CAFE5 infers gene expansions based on copy number, not gene trees. However, the observed expansions remain robust and meaningful as they consistently occur in terrestrial lineages, regardless of when they arose. Also, although our study relies on a robust phylogenetic framework, phylogenetic position incongruence complicates interpretations of terrestrial transitions, such as the debated relationships with Chelicerata. We followed recent studies that place Xiphosura as the sister group to Arachnida57, implying a single origin of terrestrialization in arachnids, whereas some placements propose that Xiphosura may be nested within arachnids58, which would suggest an alternative scenario. Additionally, there is limited taxon sampling for certain lineages, such as tardigrades, onychophorans and woodlice, which may lead to HG numbers that are not representative of the gene content of the clade. In the future, with more and more genomes being sequenced, the inclusion of more taxa in datasets will be possible. Future efforts should also focus on developing advanced annotation tools for lost and contracted genes, such as machine learning approaches (for example, language models59) to overcome challenges caused by sequence divergence and limited homologues. Moreover, improving gene family expansion inference by integrating gene tree-based approaches will be crucial to pinpoint duplication events more precisely.
This study uses an integrative approach, seamlessly combining comparative genomic analysis, functional annotation and evolutionary timescale reconstruction. By leveraging the InterEvo framework, which assesses the overlap of biological functions in genes repeatedly gained or reduced in these transitions, we systematically reveal the convergent genomic patterns across diverse metazoan taxa, capturing the breadth of animal diversity and providing a robust methodology for studying convergent genome evolution. Furthermore, the analysis incorporates diverse comparisons across terrestrial lineages, offering a comprehensive perspective on both global trends and category-specific patterns of terrestrial adaptations. Many genomic adaptations to terrestrial animal life are convergent, suggesting broadly predictable molecular responses. Yet, convergence is part of the story. Each terrestrial lineage also displays its own contingent adaptations, shaped by its unique evolutionary history, genomic background and ecological context. Even when facing similar challenges, different lineages often arrive at distinct molecular solutions, reflecting their ancestral constraints and trajectories. Terrestrialization, therefore, illustrates the interplay between convergence and contingency, highlighting both the repeatability and the uniqueness of evolutionary innovation.
Methods
Taxon sampling and HGs inference
We compiled 154 genome samplings from published projects uploaded in UniProt62, NCBI63, Ensembl64 and other resources (Supplementary Table 1). 154 genomes were downloaded, containing 3,934,362 predicted proteins, including 151 metazoan and 3 unicellular organism genomes. A side script provided by OrthoFinder (primary_transcript.py) and Cd-hit v.4.8.1 (ref. 65) (using a similarity threshold of 1.00) were used to extract the canonical proteins from the original data. The quality of canonical proteins from 154 genomes were assessed by BUSCO v.5.4.7 (ref. 66) (Supplementary Table 1). The completeness greater than 85% and fragmentation less than 15% were preferable. It should be noted that we considered not only genome completeness but also the habitat and phylogeny of the species, so we selected some genomes that did not perfectly meet the above standard. We then inferred HGs by Orthofinder v.2.5.5 (ref. 67), using dependencies of MAFFT v.7.505 (ref. 68) and DIAMOND v.2.1.8 (ref. 69). The HGs were then used for analysing gene content.
Guide tree
We drew a guide tree that was used for gene expansions/contractions analyses and the later time tree. This guide tree, based on the species positions inferred from previous literature70,71,72,73, was used to build the phylogeny of metazoans through the following steps. While some nodes are controversial (namely the position of sponges, ctenophors, or acoels), they are far removed from the terrestrial nodes of interest. First, we started from the conserved single-copy genes in the Metazoa_odb10 from BUSCO v.5.4.7 (ref. 66). Homo sapiens contains 943 of these genes, which were extracted to serve as reference orthologous. These identified conserved protein sequences were aligned using MAFFT v.7.505 (ref. 68) and trimmed using trimAl v.1.4.rev.15 (ref. 74) to remove poorly aligned regions. Next, we concatenated the trimmed alignments into a single supermatrix using FASconCAT-G v.1.05.1 (ref. 75). Finally, the concatenated supermatrix was used to build the phylogeny with IQ-TREE v.2.2.2.6 (ref. 76), using C60 + G + I model, using the guide tree as a constraint, and performing 1,000 bootstrap replicates. The resulting phylogeny, with branch lengths representing genetic changes, was subsequently used in CAFE5 for further analysis (see following methods).
Gene content analysis
Novel HGs: HGs that are present in at least one species within the LCA of a lineage (following we called a node), while being absent in all species of outgroup.
Novel core HGs: HGs that are present in all species within a node (or absent only once for node containing more than three species), while being absent in all species of outgroup. For the node with two species, novel HGs are equal to novel core HGs.
Lost HGs: HGs that are lost in all species within a node, while being present in the sister groups and other species in outgroup.
Expanded HGs: the increase in the number of gene copies occurred within HGs, often due to gene duplication events.
Contracted HGs: the reduction in the number of gene copies occurred within HGs.
Ancestral HGs: all HGs present in a node.
Novel, novel core and lost HGs were inferred by our host pipeline Phylogenetically Aware Parsing Script described by Paps and Holland11 (GitHub: https://github.com/PapsLab) with Perl v.5.30.0.
Expanded and contracted HGs were inferred by CAFE522. First, we generated an ultrametric phylogenetic tree with ape, TreeTools and phytools packages in R, based on phylogenetic tree built using IQ-TREE. CAFE5 was launched with the ultrametric tree. Owing to the large dataset, we were unable to run the entire phylogeny at once; therefore, we split the phylogeny into three smaller trees: Lophotrochozoa, Ecdysozoa and Deuterostomia. For each smaller tree, CAFE5 was run with Poisson distribution and error model, applying two- and three-lambda models ten times each to test convergence of Model Base Final Likelihood (-lnL). We selected the highest lnL from two- and three-lambda models to compare their fit using a likelihood ratio test with chi-squared distribution (via lmtest package in R), which indicated that three-lambda models are a better fit for all three phylogenies (P < 0.001). However, further tests using simulation function of CAFE5 revealed that values (including lambda and -lnL) of three-lambda model of Deuterostomia fluctuated, while that of two-lambda model were stable, thus the two-lambda model was judged to be the better fit for this phylogeny. For Lophotrochozoa and Ecdysozoa, the simulation tests showed stable values for the three-lambda models, which were therefore chosen as the better fit (Supplementary Table 20).
Novel core HG validation
To test the robustness, novel core HGs were tested by BLASTp v.2.14.0 +77 using NCBI RefSeq database78 (downloaded on 23 August 2023), which contains a broad range of high-quality molecular sequences. We launched BLASTp locally and searched novel core HGs against RefSeq records, excluding protein sequences from the in-groups (terrestrial nodes) with the option “-negative_taxidlist”. The results shown that BLASTp returned very weak hits; the vast majority of sequences had e-value > 10−10 and identity <50% (Supplementary Table 21).
Permutation test analysis
Novel HGs gain rate
We evaluated if the number of novel genes emerging per million years in terrestrial nodes differ from aquatic nodes. We collected the rate of emergence of novel gene in 11 terrestrial nodes and randomly selected 11 aquatic nodes (Actinopterygii, Ambulacraria, Bivalvia, Branchiopoda, Chondrichthyes, Cnidaria, Decapoda, Platyhelminthes, Priapulida, Sabellida and Vetigastropoda). We calculated the observed total evolutionary rate in the 11 terrestrial nodes as the total number of novel HGs divided by total divergence time (Rterr = 4.900). We then performed 10,000 bootstrap draws: in each permutation we sampled (with replacement) 11 aquatic nodes from this pool, recalculated the evolutionary rate (Rboot = total novel HG counts divided by total divergence time) and recorded the value, producing a null distribution of novel gene rates in aquatic nodes. The empirical one-tailed P value was the proportion of bootstraps with Rboot ≥ Rterr.
Functional repertoire
We assessed if the GO term composition of terrestrial lineages differs from that of aquatic lineages. We included lineages with the biggest taxon sampling from random aquatic lineages, including Actinopterygii, Ambulacraria, Bivalvia, Branchiopoda, Cnidaria, Decapoda and Platyhelminthes. We converted the GO matrix derived from the novel genes for each lineage into a binary presence/absence matrix, then quantified the dissimilarity between terrestrial and aquatic GO term profiles by measuring the proportion of non-shared terms (Jaccard distance). For the permutation test, we randomly reshuffled the ‘aquatic/terrestrial’ labels across lineages 10,000 times; in each permutation we rebuilt the two group profiles and recalculated Jaccard distance between them. The empirical P value was the proportion of permutations distance ≥ the observed distance.
Both analyses were conducted in R using the packages vegan, car and ggplot2.
Functional annotation and enrichment analysis
For each terrestrial event, we selected one species as representative. Rotaria sordida in Bdelloidea, Eisenia andrei in Clitellata, Candidula unifasciata in Stylommatophora, Pristionchus pacificus in Nematoda, Ramazzottius varieornatusa in Tardigrada, Epiperipatus broadwayi in Onychophora, Centruroides sculpturatus in Arachnida, Rhysida immarginata in Myriapoda, Armadillidium nasatum in Armadillidium, Drosophila melanogaster in Hexapoda, H. sapiens in Tetrapoda. For annotating Pfam domains and GO terms of the HGs of interest, egg-NOG-mapper v.2 (ref. 79) was applied online with default parameters. Further analysis of names of genes of interest was performed in UniProt62 using mapping IDs in sequence headers. We also used PANTHER 19.0 (ref. 80) to classify genes with ‘protein class’.
We conducted GO enrichment analysis to find overrepresented GO terms in novel and expanded HGs of terrestrial events, using background of GO terms hitting all HGs present in the LCA of Bilateria. Using Fisher’s exact test, we compared the number of HGs hitting each GO term between the terrestrial events and bilaterian background. The P values for multiple comparisons were corrected with the Benjamini–Hochberg method. GO terms with adjusted P values < 0.05 were considered significantly enriched. In another way, we also used all HGs present in the LCA of terrestrial events as background to perform enrichment analysis, such as GO terms hitting expanded HGs of hexapods comparing with GO terms hitting all HGs present in LCA hexapods. However, to ensure normalization across all terrestrial events, we chose bilaterian background for the following analysis.
To identify biological functions driving the separation of semi-terrestrial and fully terrestrial groups (following the PCoA), we tested differential presence of GO terms or Pfams between semi-terrestrial and fully terrestrial groups using binary matrices (present/absent). Functional terms that lacked variability (present in all species or in none) were discarded. For every remaining feature we compiled a 2 × 2 contingency table (presence/absence number of species in two habitat categories) and subjected it to a two-tailed Fisher’s Exact Test in R, using the marginal totals across entire pool of species as the background. P values were corrected for multiple comparisons using the Benjamini–Hochberg method. The functional terms with adjusted P < 0.05 were considered significantly enriched and those of P < 0.01 were reported. To retain biological relevance, we excluded the functional terms present in ≤10% proportion in both groups.
PCoA and PCA
To compare the distribution in GO terms linked to novel and ancestral HGs among semi-terrestrial and fully terrestrial lineages, we performed a PCA. PCA was conducted using the prcomp function in R. The GO terms of species were plotted using the first two principal components, PC1 and PC2. Statistical analyses were applied to assess differences between semi-terrestrial and fully terrestrial groups. Analysis of variance (ANOVA) and Tukey’s honest significant difference (HSD) test was performed on the principal components scores to evaluate significant differences among these two groups and pairwise comparisons. Then, a multivariate analysis of variance (MANOVA) was conducted to examine the combined effect of these two groups on PC1 and PC2, respectively. Two ellipses, using normal distribution-based ellipse fitting, were merged based on their habitats, representing semi-terrestrial and fully terrestrial groups. The semi-terrestrial group includes bdelloid rotifers, clitellates, nematodes, tardigrades and onychophorans, while fully terrestrial group includes stylommatophorans, arachnids, myriapods, Armadillidium, hexapods and tetrapods. The analyses were performed in R using the ggplot2, ggforce and car packages.
However, because shared absences might bias Euclidean-based PCA on binary presence/absence data, inflating similarity between groups that simply lack many of the same features, we further performed PCoA. We quantified compositional differences in GO term and Pfam presence/absence profiles between semi-terrestrial and fully terrestrial species based on Jaccard dissimilarity. Pairwise dissimilarities among species were computed using the Jaccard distance in vegan R package. We then performed PCoA on the Jaccard distance matrix. The two axis labels explain the percentages of Jaccard distance variation. To test for overall group difference between semi-terrestrial and fully terrestrial groups, we performed a PERMANOVA (adonis2 function) on the Jaccard distances with 10,000 permutations, with reassigning species to the two groups. To confirm the PERMANOVA results are not driven by unequal within-group spread, we tested for homogeneity of multivariate dispersion using betadisper function with permutations of sample–group labels (centroids recomputed each 999 permutation). Plots were generated using ggplot2 package and group ellipses represent 95% concentration regions. The comparison between freshwater and terrestrial species used the same methods described above.
Molecular clock
Molecular clock analysis was performed using a two-step approach in MCMCTree81 (PAML package82). Using the previously described concatenated alignment of 943 conserved orthologous genes generated using BUSCO v.5.4.7 (ref. 66), MAFFT v.7.505 (ref. 68), trimAl v.1.4.rev.15 (ref. 74) and FASconCAT-G v.1.05.1 (ref. 75). The analysis was conducted in two steps. In the first step, branch lengths were estimated by maximum likelihood using CODEML83, which calculated the gradient and Hessian of the likelihood function at the maximum likelihood estimates. We used the Empirical + F model (model = 3) and an independent rates clock model (clock = 2). Subsequently, MCMCTree was executed to estimate divergence times, using the same independent rates clock model and discrete gamma distribution with 4 categories and a shape parameter alpha = 0.5. Using an R script provided by MCMCTree tutorial (GitHub: https://github.com/sabifo4/Tutorial_MCMCtree), the prior for the substitution rate was determined based on the approximate root age (591.255 Ma), resulting in a gamma distribution with shape α = 2 and scale β = 5.1. For each analysis, we ran the MCMC for about 20 million generations, with the first 100,000 generations discarded as burn-in, sampling every 1,000 generations to obtain 20,000 samples. To ensure convergence and reliability of the results, we performed six independent Markov chain Monte Carlo runs. We assessed convergence using Tracer v.1.7.2 (ref. 84), which showed effective sample sizes exceeding 200 for all parameters across all runs. Based on the consistency of results across runs and comparative summary statistics, we selected the fourth run for our final divergence time estimates (Supplementary Table 22).
Reporting summary
Further information on research design is available in the Nature Portfolio Reporting Summary linked to this article.
Data availability
All genome data analysed in this study are available from public databases, including UniProt, NCBI, Ensembl and other resources. The specific publications and download links for the 154 genomes are provided in Supplementary Table 1.
Code availability
The computer code used in the analyses has been deposited in GitHub (https://github.com/JLWei7/animal_terrestrialisation).
References
Kenrick, P., Wellman, C. H., Schneider, H. & Edgecombe, G. D. A timeline for terrestrialization: consequences for the carbon cycle in the Palaeozoic. Philos. Trans. R. Soc. Lond. B. 367, 519–536 (2012).
Selden, P. A. Encyclopedia of Life Sciences: Terrestrialization (Precambrian–Devonian) (John Wiley & Sons, 2005).
Brusca, R. C., Giribet, G. & Moore, W. Invertebrates, 4th edn (Oxford Univ. Press, 2023).
Ashley-Ross, M. A., Hsieh, S. T., Gibb, A. C. & Blob, R. W. Vertebrate land invasions-past, present, and future: an introduction to the symposium. Integr. Comp. Biol. 53, 192–196 (2013).
Lozano-Fernandez, J. et al. A molecular palaeobiological exploration of arthropod terrestrialization. Philos. Trans. R. Soc. Lond. B 371, 20150133 (2016).
Barker, G. M. Naturalised terrestrial Stylommatophora (Mollusca: Gastropoda). Fauna N. Z. https://doi.org/10.7931/J2/FNZ.38 (1999).
Mobjerg, N. et al. Survival in extreme environments—on the current knowledge of adaptations in tardigrades. Acta Physiol. 202, 409–420 (2011).
Menter, D. G. et al. Of vascular defense, hemostasis, cancer, and platelet biology: an evolutionary perspective. Cancer Metastasis Rev. 41, 147–172 (2022).
Carter, M. J., Cortes, P. A. & Rezende, E. L. Temperature variability and metabolic adaptation in terrestrial and aquatic ectotherms. J. Therm. Biol 115, 103565 (2023).
Nilsson, D. E. Evolution: an irresistibly clear view of land. Curr. Biol. 27, R715–R717 (2017).
Paps, J. & Holland, P. W. H. Reconstruction of the ancestral metazoan genome reveals an increase in genomic novelty. Nat. Commun. 9, 1730 (2018).
Fernandez, R. & Gabaldon, T. Gene gain and loss across the metazoan tree of life. Nat. Ecol. Evol. 4, 524–533 (2020).
Guijarro-Clarke, C., Holland, P. W. H. & Paps, J. Widespread patterns of gene loss in the evolution of the animal kingdom. Nat. Ecol. Evol. 4, 519–523 (2020).
Martinez-Redondo, G. I. et al. Parallel duplication and loss of aquaporin-coding genes during the “out of the sea” transition as potential key drivers of animal terrestrialization. Mol. Ecol. 32, 2022–2040 (2023).
Aristide, L. & Fernández, R. Genomic insights into mollusk terrestrialization: parallel and convergent gene family expansions as key facilitators in out-of-the-sea transitions. Genome Biol. Evol. 15, evad176 (2023).
Thomas, G. W. C. et al. Gene content evolution in the arthropods. Genome Biol. 21, 15 (2020).
Balart-Garcia, P. et al. Parallel and convergent genomic changes underlie independent subterranean colonization across beetles. Nat. Commun. 14, 3842 (2023).
Vargas-Chavez, C. et al. An episodic burst of massive genomic rearrangements and the origin of non-marine annelids. Nat. Ecol. Evol. 9, 1263–1279 (2025).
Bowles, A. M. C., Bechtold, U. & Paps, J. The origin of land plants is rooted in two bursts of genomic novelty. Curr. Biol. 30, 530–536 e2 (2020).
WoRMS Editorial Board. World Register of Marine Species (WoRMS) (Flanders Marine Institute, 2024); https://www.marinespecies.org.
Fernández, R., Gabaldon, T. & Dessimoz, C. Phylogenetics in the Genomic Era: Orthology: Definitions, Prediction, and Impact on Species Phylogeny Inference (2020).
Mendes, F. K., Vanderpool, D., Fulton, B. & Hahn, M. W. CAFE 5 models variation in evolutionary rates among gene families. Bioinformatics 36, 5516–5518 (2021).
Natsidis, P., Kapli, P., Schiffer, P. H. & Telford, M. J. Systematic errors in orthology inference and their effects on evolutionary analyses. iScience 24, 102110 (2021).
Koonin, E. V. & Wolf, Y. I. Constraints and plasticity in genome and molecular-phenome evolution. Nat. Rev. Genet. 11, 487–498 (2010).
Ashburner, M. et al. Gene ontology: tool for the unification of biology. Nat. Genet. 25, 25–29 (2000).
The Gene Ontology Consortium The Gene Ontology knowledgebase in 2023. Genetics 224, iyad031 (2023).
Finn, R. D. et al. Pfam: the protein families database. Nucleic Acids Res. 42, D222–D230 (2014).
Steger, A. et al. The evolution of plant proton pump regulation via the R domain may have facilitated plant terrestrialization. Commun. Biol. 5, 1312 (2022).
Guna, A., Volkmar, N., Christianson, J. C. & Hegde, R. S. The ER membrane protein complex is a transmembrane domain insertase. Science 359, 470–473 (2018).
Thiel, M. & Watling, L. Lifestyles and Feeding Biology: The Natural History of the Crustacea (Oxford Univ. Press, 2015).
Snyder, M. J. Cytochrome P450 enzymes in aquatic invertebrates: recent advances and future directions. Aquat. Toxicol. 48, 529–547 (2000).
Naumann, C., Hartmann, T. & Ober, D. Evolutionary recruitment of a flavin-dependent monooxygenase for the detoxification of host plant-acquired pyrrolizidine alkaloids in the alkaloid-defended arctiid moth Tyria jacobaeae. Proc. Natl Acad. Sci. USA 99, 6085–6090 (2002).
Tian, R., Seim, I., Ren, W., Xu, S. & Yang, G. Contraction of the ROS scavenging enzyme glutathione S-transferase gene family in cetaceans. G3 9, 2303–2315 (2019).
Weis, W. I. & Kobilka, B. K. The molecular basis of G protein-coupled receptor activation. Annu. Rev. Biochem. 87, 897–919 (2018).
Sakai, Y. et al. The integrin signaling network promotes axon regeneration via the Src–Ephexin–RhoA GTPase signaling axis. J. Neurosci. 41, 4754–4767 (2021).
You, J. S. et al. ARHGEF3 regulates skeletal muscle regeneration and strength through autophagy. Cell Rep. 34, 108731 (2021).
Nakamura, M., Verboon, J. M. & Parkhurst, S. M. Prepatterning by RhoGEFs governs Rho GTPase spatiotemporal dynamics during wound repair. J. Cell Biol. 216, 3959–3969 (2017).
Tsuchiya, T. et al. Cloning of chlorophyllase, the key enzyme in chlorophyll degradation: finding of a lipase motif and the induction by methyl jasmonate. Proc. Natl Acad. Sci. USA 96, 15362–15367 (1999).
Orth, M. et al. Shugoshin is a Mad1/Cdc20-like interactor of Mad2. EMBO J. 30, 2868–2880 (2011).
Bradley, T. J. Terrestrial Animals: Animal Osmoregulation (Oxford Univ. Press, 2008).
Bowman, K. G. & Bertozzi, C. R. Carbohydrate sulfotransferases: mediators of extracellular communication. Chem. Biol. 6, R9–R22 (1999).
Reiter, R. J. The melatonin rhythm: both a clock and a calendar. Experientia 49, 654–664 (1993).
Stout, J. The terrestrial plankton. Tuatara 11, 57 (1963).
Kameda, Y. & Kato, M. Terrestrial invasion of pomatiopsid gastropods in the heavy-snow region of the Japanese Archipelago. BMC Evol. Biol. 11, 118 (2011).
Locke, M. Secretion of wax through the cuticle of insects. Nature 184, 1967–1967 (1959).
Wang, T. & Montell, C. Rhodopsin formation in Drosophila is dependent on the PINTA retinoid-binding protein. J. Neurosci. 25, 5187–5194 (2005).
Lillywhite, H. B. Water relations of tetrapod integument. J. Exp. Biol. 209, 202–226 (2006).
Riera Romo, M., Perez-Martinez, D. & Castillo Ferrer, C. Innate immunity in vertebrates: an overview. Immunology 148, 125–139 (2016).
Morris, J. L. et al. The timescale of early land plant evolution. Proc. Natl Acad. Sci. USA 115, E2274–E2283 (2018).
Carlisle, E., Yin, Z., Pisani, D. & Donoghue, P. C. J. Ediacaran origin and Ediacaran–Cambrian diversification of Metazoa. Sci. Adv. 10, eadp7161 (2024).
Qing, X. et al. Phylogenomic insights into the evolution and origin of nematoda. Syst. Biol. 74, 349–358 (2025).
Mitchell, R. L. et al. Cryptogamic ground covers as analogues for early terrestrial biospheres: initiation and evolution of biologically mediated proto-soils. Geobiology 19, 292–306 (2021).
Kearsey, T. I. et al. The terrestrial landscapes of tetrapod evolution in earliest Carboniferous seasonal wetlands of SE Scotland. Palaeogeogr. Palaeoclimatol. Palaeoecol. 457, 52–69 (2016).
Selles Vidal, L., Kelly, C. L., Mordaka, P. M. & Heap, J. T. Review of NAD(P)H-dependent oxidoreductases: Properties, engineering and application. Biochim. Biophys. Acta 1866, 327–347 (2018).
Benton, M. J., Wilf, P. & Sauquet, H. The angiosperm terrestrial revolution and the origins of modern biodiversity. New Phytol. 233, 2017–2035 (2022).
Alibardi, L. Regeneration among animals: an evolutionary hypothesis related to aquatic versus terrestrial environment. Dev. Biol. 501, 74–80 (2023).
Lozano-Fernandez, J. et al. Increasing species sampling in chelicerate genomic-scale datasets provides support for monophyly of Acari and Arachnida. Nat. Commun. 10, 2295 (2019).
Ballesteros, J. A. & Sharma, P. P. A critical appraisal of the placement of Xiphosura (Chelicerata) with account of known sources of phylogenetic error. Syst. Biol. 68, 896–917 (2019).
Martínez-Redondo, G. I. et al. FANTASIA leverages language models to decode the functional dark proteome across the animal tree of life. Commun. Biol. 8, 1227 (2025).
Conway, J. R., Lex, A. & Gehlenborg, N. UpSetR: an R package for the visualization of intersecting sets and their properties. Bioinformatics 33, 2938–2940 (2017).
Supek, F., Bošnjak, M., Škunca, N. & Šmuc, T. REVIGO summarizes and visualizes long lists of gene ontology terms. PLoS ONE 6, e21800 (2011).
UniProt, C. UniProt: the Universal Protein Knowledgebase in 2023. Nucleic Acids Res. 51, D523–D531 (2023).
Sayers, E. W. et al. Database resources of the National Center for Biotechnology Information in 2023. Nucleic Acids Res. 51, D29–D38 (2023).
Martin, F. J. et al. Ensembl 2023. Nucleic Acids Res. 51, D933–D941 (2023).
Li, W. & Godzik, A. Cd-hit: a fast program for clustering and comparing large sets of protein or nucleotide sequences. Bioinformatics 22, 1658–1659 (2006).
Manni, M., Berkeley, M. R., Seppey, M., Simao, F. A. & Zdobnov, E. M. BUSCO update: novel and streamlined workflows along with broader and deeper phylogenetic coverage for scoring of eukaryotic, prokaryotic, and viral genomes. Mol. Biol. Evol. 38, 4647–4654 (2021).
Emms, D. M. & Kelly, S. OrthoFinder: phylogenetic orthology inference for comparative genomics. Genome Biol. 20, 238 (2019).
Katoh, K. & Standley, D. M. MAFFT multiple sequence alignment software version 7: improvements in performance and usability. Mol. Biol. Evol. 30, 772–780 (2013).
Buchfink, B., Reuter, K. & Drost, H. G. Sensitive protein alignments at tree-of-life scale using DIAMOND. Nat. Methods 18, 366–368 (2021).
Laumer, C. E. et al. Revisiting metazoan phylogeny with genomic sampling of all phyla. Proc. Biol. Sci. 286, 20190831 (2019).
Pett, W. et al. The role of homology and orthology in the phylogenomic analysis of metazoan gene content. Mol. Biol. Evol. 36, 643–649 (2019).
Redmond, A. K. & McLysaght, A. Evidence for sponges as sister to all other animals from partitioned phylogenomics with mixture models and recoding. Nat. Commun. 12, 1783 (2021).
Simion, P. et al. A large and consistent phylogenomic dataset supports sponges as the sister group to all other animals. Curr. Biol. 27, 958–967 (2017).
Capella-Gutierrez, S., Silla-Martinez, J. M. & Gabaldon, T. trimAl: a tool for automated alignment trimming in large-scale phylogenetic analyses. Bioinformatics 25, 1972–1973 (2009).
Kuck, P. & Longo, G. C. FASconCAT-G: extensive functions for multiple sequence alignment preparations concerning phylogenetic studies. Front. Zool. 11, 81 (2014).
Minh, B. Q. et al. IQ-TREE 2: new models and efficient methods for phylogenetic inference in the genomic era. Mol. Biol. Evol. 37, 1530–1534 (2020).
Bealer, K. et al. BLAST+: architecture and applications. BMC Bioinformatics 10, 421 (2009).
O’Leary, N. A. et al. Reference sequence (RefSeq) database at NCBI: current status, taxonomic expansion, and functional annotation. Nucleic Acids Res. 44, D733–D745 (2016).
Cantalapiedra, C. P., Hernandez-Plaza, A., Letunic, I., Bork, P. & Huerta-Cepas, J. eggNOG-mapper v2: functional annotation, orthology assignments, and domain prediction at the metagenomic scale. Mol. Biol. Evol. 38, 5825–5829 (2021).
Thomas, P. D. et al. PANTHER: Making genome-scale phylogenetics accessible to all. Protein Sci. 31, 8–22 (2022).
Alvarez-Carretero, S. et al. A species-level timeline of mammal evolution integrating phylogenomic data. Nature 602, 263–267 (2022).
Yang, Z. PAML 4: phylogenetic analysis by maximum likelihood. Mol. Biol. Evol. 24, 1586–1591 (2007).
Álvarez-Carretero, S., Kapli, P. & Yang, Z. Beginner’s guide on the use of PAML to detect positive selection. Mol. Biol. Evol. 40, msad041 (2023).
Rambaut, A., Drummond, A. J., Xie, D., Baele, G. & Suchard, M. A. Posterior summarization in Bayesian phylogenetics Using Tracer 1.7. Syst. Biol. 67, 901–904 (2018).
Acknowledgements
This work used ACRC HPC University of Bristol. We thank P. Holland, T. Williams and J. Vinther for their comments and suggestions on the analyses. J.W. is supported by China Scholarship Council-University of Bristol joint-funded Scholarship (202206350023). M.Á.-P. and J.P. are supported by the Wellcome Trust (210101/Z/18/Z) and the School of Biological Sciences (University of Bristol). M.Á.-P. was also supported by a fellowship from the Fundación General CSIC´s ComFuturo, which received funding from the European Union’s Horizon 2020 research and innovation programme under the Marie Skłodowska-Curie grant agreement 101034263. M.Á.-P. is recipient of Ramon y Cajal grant RYC2023‐043807‐I of Spanish Ministry of Science, Innovation and Universities (MCIN/AEI/ and El FSE). P.C.J.D. is supported by Gordon and Betty Moore Foundation grant GBMF9741, Leverhulme Trust Research Fellowship grant RF-2022-167, Biotechnology and Biological Sciences Research Council grants BB/T012773/1 and BB/Y003624/1. D.P. is supported by Gordon and Betty Moore Foundation grant GBMF9741 and Leverhulme Research Project Grant RPG-2024-030.
Author information
Authors and Affiliations
Contributions
Conceptualization: J.W., D.P., P.C.J.D., M.Á.-P. and J.P. Methodology: J.W., M.Á.-P. and J.P. Data analysis: J.W. Visualization: J.W. Writing, original draft: J.W., M.Á.-P. and J.P. Writing, review and editing: J.W., D.P., P.C.J.D., M.Á.P. and J.P. Supervision: D.P., P.C.J.D., M.Á.-P. and J.P.
Corresponding author
Ethics declarations
Competing interests
The authors declare no competing interests.
Peer review
Peer review information
Nature thanks José Martín-Durán, Sebastian Shimeld and the other, anonymous, reviewer(s) for their contribution to the peer review of this work. Peer review reports are available.
Additional information
Publisher’s note Springer Nature remains neutral with regard to jurisdictional claims in published maps and institutional affiliations.
Extended data figures and tables
Extended Data Fig. 1 Overview of the InterEvo (Intersection Framework for Convergent Evolution) workflow.
The pipeline used in this study comprises three main analyses following homology group (HG) inference and ancestral genome reconstruction. Analyses of expanded HGs, contracted HGs, and lost HGs involve identifying HGs shared across transition nodes. Analyses of novel and expanded HGs involve identifying shared biological functions (including Gene Ontology (GO) terms and Pfam domains) across transition nodes, followed by enrichment analysis. The workflow integrates comparative genomics, homology inference, and functional annotation to detect convergent evolution patterns across independent terrestrialisation events.
Extended Data Fig. 2 Species tree of the 154 sampled taxa.
Species tree of the 154 taxa sampled in this study. The habitat types are indicated as follows: marine (dark blue nodes), brackish (grey nodes), freshwater (light blue nodes), semi-terrestrial (yellow circles with green outlines), and fully terrestrial (red circles with green outlines).
Extended Data Fig. 3 Permutation tests of novel HG rates and functional distances between terrestrial and aquatic species.
a, Permutation test assesing whether the rate of novel genes emergence per million years (Myr) in terrestrial nodes is significantly higher than in aquatic nodes. The observed terrestrial rate is indicated by the red bar. b, Permutation test assesing whether the biological functions in terrestrial nodes are significantly different from those in other nodes The observed GO distance between terrestrial and aquatic groups is indicated by the red bar. See Supplementary Text 1.1 for details.
Extended Data Fig. 4 Novel homology group counts across key functions in terrestrial nodes and their ancestors.
The heatmap compares the number of novel HGs associated with 10 most specific GO terms in terrestrial nodes and their three immediate ancestors. These 10 GO terms were selected from the bottom-level hierarchy of the 27 GO terms of novel genes shared across all terrestrial nodes. Terrestrial nodes are highlighted in green text, and their ancestor nodes are shown in black. Columns represent GO terms, and cells show the number of novel HGs associated with each term. The colour gradient from red (low) through white to blue (high) represents the log-transformed values of HG numbers to improve visualisation of differences in scale.
Supplementary information
Supplementary Information
Supplementary text, Supplementary figures, legends for supplementary tables and supplementary references.
Supplementary Tables
Supplementary Tables 1–22.
Rights and permissions
Open Access This article is licensed under a Creative Commons Attribution 4.0 International License, which permits use, sharing, adaptation, distribution and reproduction in any medium or format, as long as you give appropriate credit to the original author(s) and the source, provide a link to the Creative Commons licence, and indicate if changes were made. The images or other third party material in this article are included in the article’s Creative Commons licence, unless indicated otherwise in a credit line to the material. If material is not included in the article’s Creative Commons licence and your intended use is not permitted by statutory regulation or exceeds the permitted use, you will need to obtain permission directly from the copyright holder. To view a copy of this licence, visit http://creativecommons.org/licenses/by/4.0/.
About this article
Cite this article
Wei, J., Pisani, D., Donoghue, P.C.J. et al. Convergent genome evolution shaped the emergence of terrestrial animals. Nature 649, 638–646 (2026). https://doi.org/10.1038/s41586-025-09722-4
Received:
Accepted:
Published:
Version of record:
Issue date:
DOI: https://doi.org/10.1038/s41586-025-09722-4







