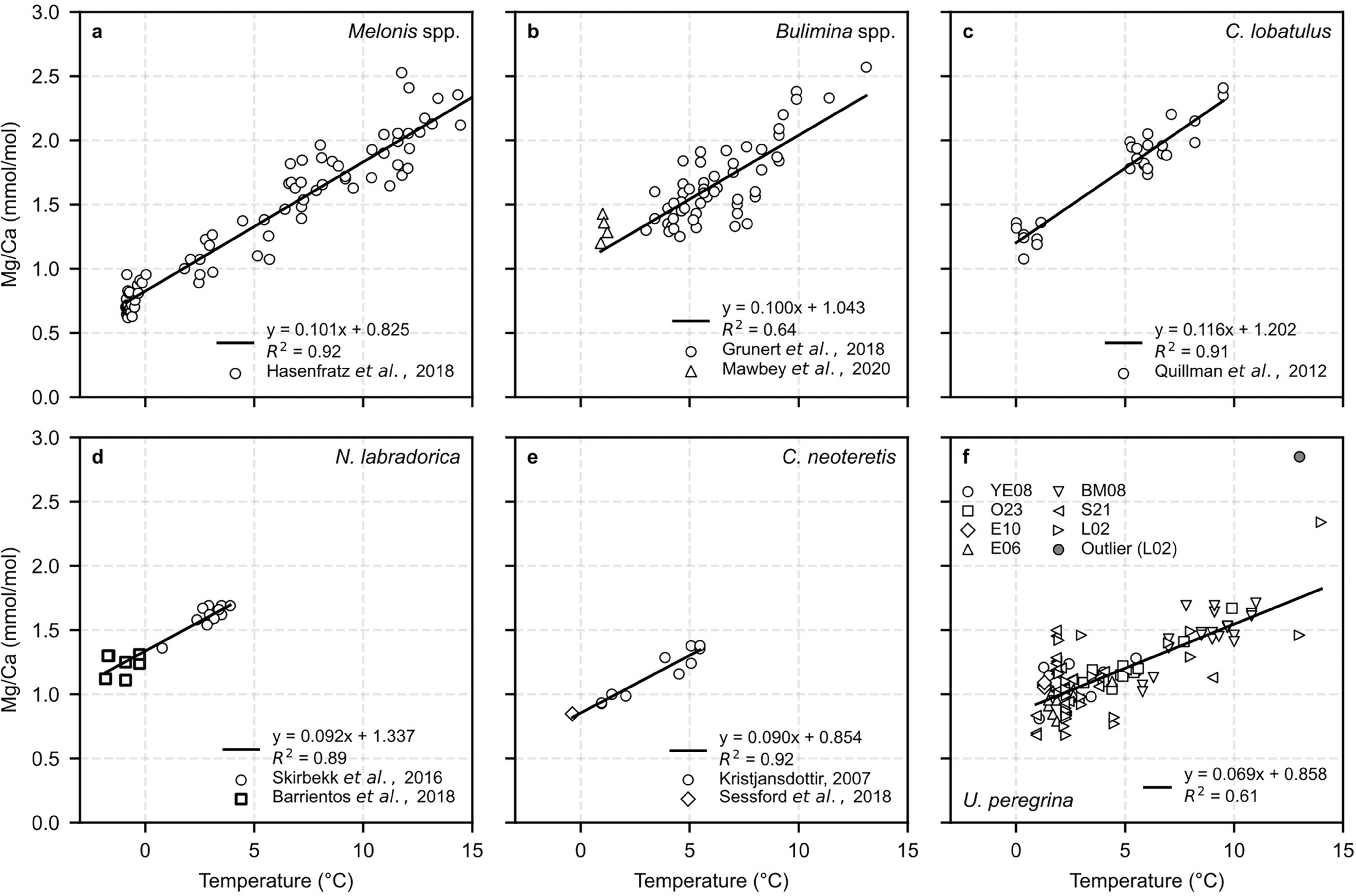
Extended Data Fig. 2: Species-specific benthic foraminiferal Mg/Ca-temperature calibration datasets used to develop our common calibration.
From: Relatively warm deep-water formation persisted in the Last Glacial Maximum

Published core-top Mg/Ca (mmol/mol) vs bottom water temperature (°C) are shown for six low-Mg, shallow infaunal benthic foraminifera: (a) Melonis spp.59, (b) Bulimina spp.60,98, (c) C. lobatulus61, (d) N. labradorica62,99, (e) C. neoteretis63,100, and (f) U. peregrina56,57,58,76,101,102. Linear regressions were performed for each species using core-top data, often compiled from multiple studies. The resulting Mg/Ca-temperature relationships and associated R2 values are shown. All species exhibit a temperature sensitivity of approximately 0.1 mmol/mol/°C, except U. peregrina, which shows a lower sensitivity (0.7 mmol/mol/°C). Inclusion of an outlier slightly increases the sensitivity ( ~ 0.01 mmol/mol/°C,) however, it remains lower than the other five species associated temperature sensitives. For C. neoteretis, we excluded calibration data from ref. 99 due to the absence of a significant trend (R2 = < 0.6). Furthermore, including these data results in a lower temperature sensitivity (approximately 0.06 mmol/mol/°C), which yields implausibly cold temperature estimates for relatively high Mg/Ca ratios. In comparison, using data only from refs. 63,100, produces a higher temperature sensitivity more consistent with other shallow infaunal benthic foraminifera. Given the size of the Melonis spp. calibration dataset, we focused on data from the subtropical and subpolar North Atlantic (n = 82), most relevant to our study location.