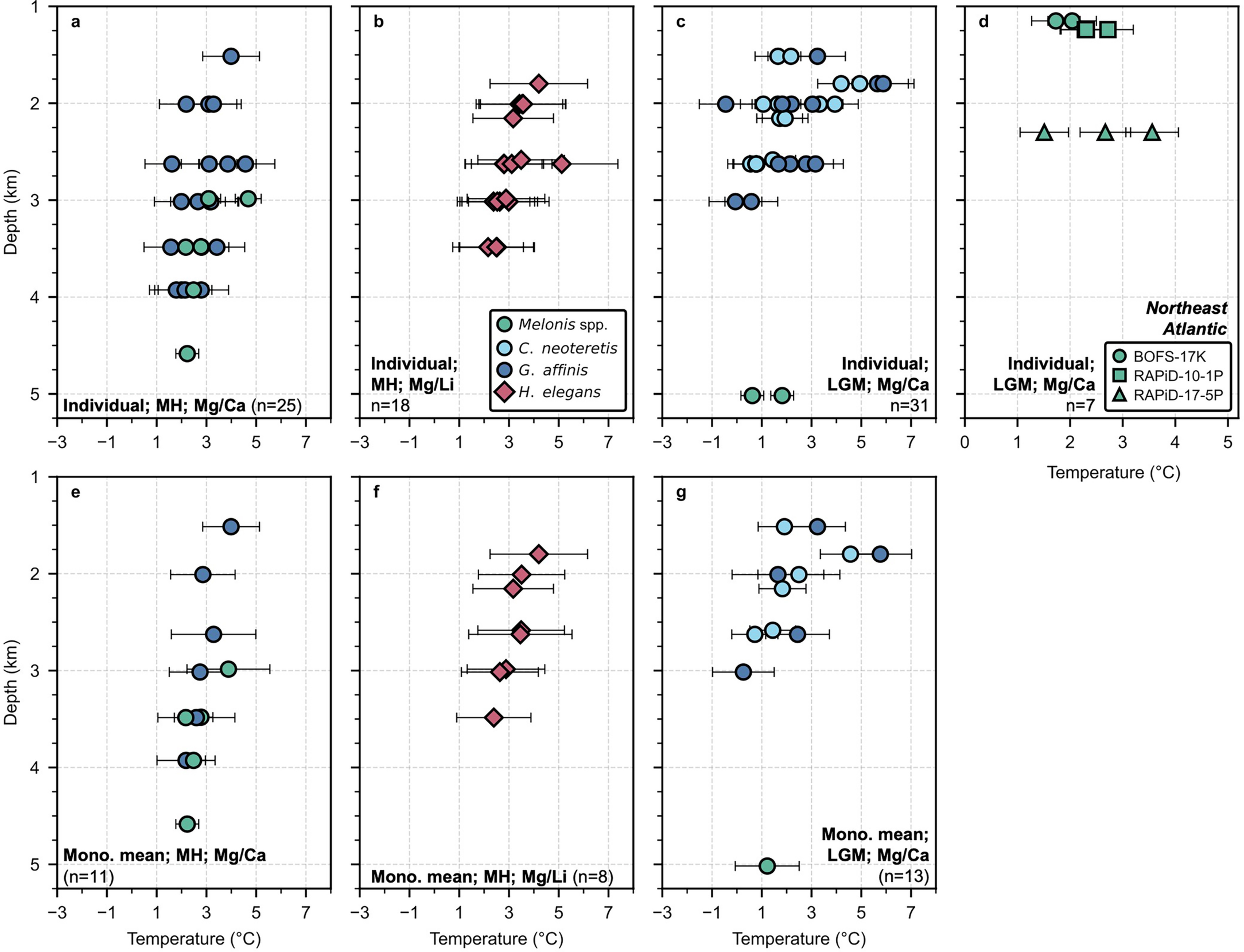
Extended Data Fig. 4: Individual and mean monospecific temperature data from the North Atlantic.
From: Relatively warm deep-water formation persisted in the Last Glacial Maximum

Individual Northwest Atlantic Mg/Ca and Mg/Li data for the mid-to-late Holocene (a and b) and LGM (c), and associated ±2 s.e. (2 s.e. = 2 × 1σ (T); methods). Each coloured circle denotes a single monospecific measurement, based on a sample comprising material from 5-15 specimens. d. same as for c but Northeast Atlantic data. e-g, same as a-c but each coloured circle denotes the monospecific mean for each core, with associated ±2 s.e. (Methods).