Abstract
The three-dimensional architecture of natural habitats is a key determinant of species biodiversity, harvestable biomass and resilience to disturbance1,2. Indeed, some species, including trees, corals and oysters, alter resource availability and modify biotic and abiotic pressures through their own three-dimensional structures—thereby enhancing their own survival3,4. However, which aspects of the three-dimensional architecture of these ecosystem engineers shape ecosystem dynamics and species survival are rarely examined by empirical studies, leaving much of the broader ecological and conservation impact of ecosystem engineering underexplored4,5,6. Here we show that oyster reefs have combinations of geometric variables that maximize recruit survival, which is a key factor influencing oyster reef growth and persistence. Using three-dimensional habitat designs that capture the full spectrum of natural oyster reef architectures, as well as a geometric theory7 that links habitat surface area, fractal dimension and height, we show that oyster settlement and survival are greatest at particular combinations of fractal dimension and height that minimize predation. Our study provides a template for understanding optimal three-dimensional habitat configurations for habitat restoration projects that are proliferating globally, without targeting key architectural features of habitat space that maximize restoration success8,9.
Main
Habitat structural complexity—the architecture of habitat space—is a key driver of species abundance and biodiversity throughout Earth’s ecosystems1,2. Highly complex, three-dimensional habitats tend to support greater numbers of individuals than simple, planar habitats because abundance scales with area10 and surface area increases with habitat complexity2,11. Habitat structural complexity also confers further benefits to species that extend beyond an increase in area, including the mediation of biotic and abiotic stressors2. For example, along intertidal shorelines, areas of high structural complexity create shaded microhabitats that protect inhabitants against heat stress at low tide12,13 and mitigate predation14. By mediating biotic and abiotic interactions, habitat structural complexity allows the establishment and persistence of species in areas that would otherwise be uninhabitable2,15.
Many of the planet’s most iconic structurally complex habitats arise from the activities of ecosystem engineers—organisms that manipulate biotic or abiotic materials and by doing so, alter resource and habitat availability3,4. Habitat modifications by ecosystem engineers can have profound effects on the distribution and abundance of species, as well as on their trophic relationships16,17,18. Particularly in marine environments, consumptive interactions involving predators or grazers exert strong top-down influence on populations and their dynamics19,20,21. In environments with high densities of consumers, habitat structural complexity can provide protection against predators by decoupling or weakening predator–prey interactions2,22. For reef-building invertebrates with planktonic larvae, such as corals and oysters, years of successive settlement and growth of new individuals generate a highly complex reef structure composed of live and dead animals23,24,25 (Fig. 1a,b). These biogenic reef structures present a high level of habitat structural complexity that can provide young recruits with both suitable settlement substrate and protection from the effects of environmental stressors and predators such as fish26,27. However, the establishment of clear links between the structural attributes of invertebrate reefs and the key ecological processes influencing their population dynamics has historically been limited by our ability to measure habitat structural complexity with precision6,28.
a,b, Successive settlement and growth of new oyster individuals generate a highly complex reef structure, shown from afar (a) and close up (b), comprising live and dead animals. c, Here we compared oyster recruitment among 16 artificial habitat units (triangles), which spanned the full range of fractal dimension, height range and surface area displayed by 28 three-dimensional models of oyster reef surfaces (crosses), obtained from natural oyster reefs. Artificial habitat units and natural oyster reef surface models were of a standardized 15 × 15 cm planar area. Oyster reef surface models were obtained from four naturally occurring S. glomerata reefs in New South Wales, Australia, using photogrammetry together with structure from motion52. d, The 16 artificial habitat units used in the study resulted from crossing four levels of fractal dimension with four levels of height range, giving 11 different values of surface area across the 16 units. The experimental design explores a geometric relationship between surface area, fractal dimension and height range. Increasing the fractal dimension or height range (or both) while holding planar area constant results in an increase in surface area7. Image in a reproduced with permission from ref. 53, John Wiley & Sons. Image in b reproduced from ref. 54 under a CC BY 4.0 licence.
Here we test whether the reef-building oyster Saccostrea glomerata constructs reefs with habitat structural complexity levels that maximize recruit survival by mitigating predation pressure on young oyster recruits. Specifically, we examined how two geometric descriptors of reef structural complexity7,29—fractal dimension and height range—influence oyster recruitment through predator mitigation. Fractal dimension is one of the most commonly used habitat structural complexity metrics6,7,30,31,32,33; it captures how reef surfaces fill and fold within three-dimensional space7,29. Fractal dimension measures space-filling at different scales and can be used to quantify the availability of protective spaces (for example, nooks and crannies), which can influence predator–prey interactions31,33. Height range, along with planar area, determine the three-dimensional space occupied by reef structures7. Fractal dimension and height range can be combined, using a mathematical relationship, to describe the configuration of reef surface area within a planar area (also known as rugosity; Fig. 1c)7, providing a simple description of habitat structural complexity on the basis of two continuous variables.
We engineered 16 artificial larval settlement habitats that encapsulate the fractal dimension and height range of oyster reefs (Fig. 1c,d); we then deployed 480 replicates of habitat units across three different estuaries, half of which were caged to prevent oyster predation following larval settlement. We hypothesized that increasing habitat structural complexity would confer benefits to oysters that extend beyond increasing surface area for larval settlement, and that most of these extra benefits would arise from predator mitigation. We also expected that in the presence of predators, oyster recruitment would peak within the range of fractal dimension and height range of oyster reefs, following an ecosystem engineering hypothesis that reef-building oysters construct reefs with levels of habitat structural complexity that maximize oyster recruit survival by mitigating predation pressure.
Complexity mediates predation on oysters
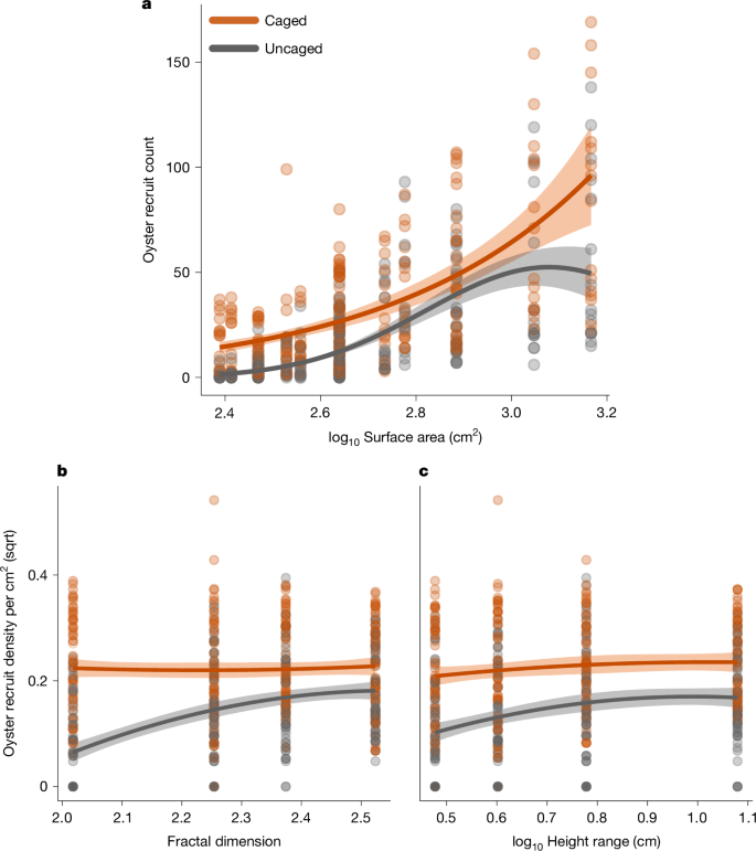
Effects of habitat structural complexity on species abundances are often assumed to arise through effects on habitat area2. As expected, based on area–abundance relationships2,10, oyster counts increased monotonically with surface area in the caged treatment (Fig. 2a). In the uncaged treatment, by contrast, we found a hump-shaped pattern (Fig. 2a), suggesting that the effects of habitat structural complexity on oyster recruitment were not driven only by the area–abundance relationship but also by the mediation of predator–prey interactions (Fig. 2a, Supplementary Tables 1 and 2).
a, Relationships between oyster recruit counts and surface area (over a standard planar area) for caged and uncaged treatments. Oyster recruit counts varied significantly according to the interaction between surface area and treatment (P < 0.0001 based on two-sided Wald χ2 test). b, Relationships between the density of oyster recruits (per centimetre squared of habitat surface, square-root-transformed) and fractal dimension for caged and uncaged treatments. Oyster recruit densities varied significantly according to the interaction between fractal dimension and treatment (P < 0.0001 based on a two-sided Wald F-test). c, Relationships between the density of oyster recruits (per centimetre squared of habitat surface, square-root-transformed) and height range for caged and uncaged treatments. Oyster recruit densities varied significantly according to the interaction between height range and treatment (P = 0.03795 based on a two-sided Wald F-test). Points represent raw (a) and square-root-transformed (b,c) data at individual habitat units (n = 240 caged and 240 uncaged habitat units deployed within three research sites: Hawkesbury, Port Hacking and Brisbane Waters). Solid lines denote the mean fit from a generalized linear mixed model (GLMM) (a) and from linear mixed models (LMMs) (b,c). Shaded areas denote 95% confidence intervals. Statistical parameters and significance of each model are found in Supplementary Tables 1–4.
Comparisons of the effects of fractal dimension and height range on oyster densities (oyster counts per unit area) between caged and uncaged habitat units showed that each of these geometric descriptors has a role in mediating predation on oyster recruits (Fig. 2). In the caged treatment, we found flat relationships between oyster densities and both fractal dimension and height range (Fig. 2b,c and Supplementary Table 3), suggesting that oyster larval settlement is most probably an area-dependent process with little larval preference for specific levels of fractal dimension and height range. Post-settlement survival, however, is highly influenced by predation21,34. At low levels of fractal dimension and height range, caging enhanced the density of oyster recruits through predator mitigation; however, as fractal dimension and height range increased, the effects of caging diminished and were closer to (but still significantly different from; see Supplementary Table 3) the uncaged densities. This mechanism arises because increasing habitat structural complexity can generate habitat compartmentalization, which in turn creates a greater range of predator-free microhabitats2,7.
Ecosystem engineering in oyster reefs
To test whether reef-building oysters construct reefs with combinations of geometric descriptors that maximize oyster recruit survival through predator mitigation, we evaluated the interactive effects of fractal dimension and height range on the density of oyster recruits in the presence of predators. When the optimal fractal dimension and height ranges for oyster density generated from our model were compared with observed values for natural oyster reefs (Fig. 3), we found that most reefs occupy the region in which oyster densities are in the top 10% of those found in the experiment. This striking concordance supports our hypothesis that reef-building oysters construct reefs with levels of habitat structural complexity that maximize recruit survival by mitigating predation pressure.
Predicted oyster recruit densities (per square centimetre, square-root-transformed) on the basis of the artificial habitat unit experiment plotted as the surface descriptor plane given by height range and fractal dimension. Oyster recruit density was significantly influenced by the interaction between fractal dimension and height range (P = 0.002875, two-sided Wald F-test; n = 240 uncaged habitat units). Prediction contours are from the LMM summarized in Supplementary Table 5 and represent 5% increments in the predicted density of oysters. Statistical parameters and significance of the model are found in Supplementary Tables 5 and 6. The black circles represent the mean height range and fractal dimension of four naturally occurring oyster reefs. Error bars represent the s.d. from 15 × 15 cm samples taken within four reef patches.
For biogenic habitats formed by aggregations of individuals (for example, coral and oyster reefs), persistence can be dependent on self-facilitation, whereby the habitat complexity conferred by groups of individuals provides new recruits with protection from predators and environmental stressors15,35,36. By showing that oysters can build a habitat structure that counteracts predation pressure—one of the key natural processes that affect their population stability—our work provides empirical evidence that helps explain why oysters modify the seascape by aggregating to form reefs17,18. According to the niche construction perspective, ecosystem engineers can modify selective pressures for subsequent generations and, consequently, the evolution of traits that benefit their fitness5,37. Although this study was not designed to assess whether oyster reef formation arises out of an evolutionary process, our results warrant further investigation to evaluate whether oysters have evolved to build habitat structures that maximize the survival of young recruits.
Habitat geometry in restoration practices
Oyster reefs are critically endangered ecosystems that have suffered a greater than 85% decline since industrialization38,39,40. Restoration of oyster reefs is rapidly scaling up, with investments generally made under the premise that restored reefs improve water quality, enhance fish production and protect coastal areas from erosion40. Although there have been several examples of the successful re-establishment of self-sustaining oyster reefs, by 2016 nearly half of oyster reef restoration projects had failed41. Oyster reef restoration generally involves deployment of hard substrate (for example, rock, shells, concrete) to create a base on which oyster larvae can settle and grow to form a reef42,43,44. Substrate deployments are generally necessary because historic overharvest using destructive fishing methods removed not only live oysters but the structurally complex foundation of dead shells on which oyster reefs build38. In many instances, unsuccessful restoration has been attributed to recruitment failure related to low habitat structural complexity of the substrate provided43,45,46. Still, there is no consensus on the levels of substrate complexity that can maximize oyster recruitment and, consequently, increase the likelihood of restoration success.
Our study provides a template for developing targets of habitat structural complexity metrics that can be incorporated into oyster reef restoration guidelines to improve restoration success. Our results also highlight that fractal dimension and height should be used in combination rather than independently, as each of these metrics is important for maximizing oyster recruitment. Here, optimal values of fractal dimension (2.41) and height range (7.96 cm) yielded oyster densities that were 35% higher than densities obtained with the maximum fractal dimension (2.52) and height range (12 cm), whereas low values of fractal dimension and height range resulted in little to no recruitment (Fig. 3). Moreover, the maximum height and minimum fractal dimension yielded 90% fewer oysters and the minimum height and maximum fractal dimension yielded 53% fewer oysters than optimum levels of these two descriptors of habitat structural complexity. It is important, however, to highlight that although our results are readily applicable to restoration of intertidal S. glomerata oyster reefs, further tests and different habitat configurations may be required to maximize the survival of other oyster species living under different environmental conditions34,47.
Our results suggest that as marine and terrestrial habitat restoration continues to scale up globally8, projects should look to nature to guide the selection and design of restoration methods. In instances in which habitat destruction and degradation have removed the structural, three-dimensional foundation for habitat formation, our approach provides a framework for increasing the success of future habitat restoration efforts. First, we collected information from our natural study system to understand the variability in habitat complexity metrics between remnant patches. Second, we used three-dimensional modelling techniques to create surface designs that spanned and extended beyond the level of surface complexity found in nature. Finally, we used a robust field experiment to test predictions on habitat geometries that maximize recruitment of the foundational ecosystem engineer, providing proof-of-concept for application to scaled restoration projects. Our approach—which decomposes habitat structural complexity into two descriptors of surface geometry—greatly elevates the current approaches to biomimicry of emergent structural traits of ecosystems that are critical to their development15. It does so by identifying those specific geometric combinations that maximize recruitment and, hence, habitat formation. Although our experimentation focused on small concrete units, the geometric understanding generated by this study can be fed into the industrial design frameworks that are increasingly being used to develop scaled solutions for restoration48, often from biodegradable materials.
Conclusion
Here we show that habitat structural complexity mediates predation on oyster recruits and that these effects are in addition to the effects of habitat structural complexity on species abundances arising from increasing surface area. We also show through experimentation with new habitat units that the values of height range and fractal dimension observed on remnant oyster reefs match those that are optimal for oyster recruitment—suggesting that oysters construct reefs that maximize the survival of new recruits by providing refuge from predation, which, consequently, increases their persistence in the marine seascape25,35. Positive feedbacks have important roles in the population dynamics of many ecosystem engineers17,18 and have important implications for the conservation of threatened biogenic habitats5,49. By showing that three-dimensional ecosystem engineering maximizes recruit survival, our study highlights the importance of conserving not only habitat area, but the integrity of the natural architecture of biogenic habitats; it also helps explain why the greatest success of oyster reef restoration occurs in areas in which the underlying habitat structure of oyster reefs, provided by dead oyster shells, has been preserved50,51. Combined, our results provide a baseline for designing habitat restoration projects that use artificial substrates to facilitate habitat formation by reef-forming organisms. Our results also highlight the importance of looking to nature when designing restoration projects.
Methods
Experimental design
Reef structural complexity metrics—fractal dimension and height range—were manipulated using artificial habitat units, of standardized 15 × 15 cm planar area, but of varying three-dimensional geometry and surface area. There were 16 distinct designs (Fig. 1c), produced by crossing four levels of each fractal dimension and height range to produce 11 resultant levels of surface area. The range of levels of fractal dimension (2.02−2.52), height range (3−12 cm) and surface area (244.75−1,467.79 cm2) were centred around, but extended beyond, values observed for S. glomerata oyster reefs in Sydney, New South Wales, Australia (mean ± s.e.m., fractal dimension = 2.31 ± 0.009, height range = 7.67 ± 0.40 cm, surface area = 571.01 ± 17.22; Fig. 3).
Values of fractal dimension, height range and surface area were calculated from digital elevation models (DEMs) using the habtools package of R (ref. 55); DEMs for all artificial and natural surfaces were generated from three-dimensional models using the ‘mesh_to_dem’ function of habtools. All DEMs had the same resolution (1 mm), to allow for comparisons between surfaces. Fractal dimension was estimated using the fd() function and the variation method, based on measurements taken across six spatial scales obtained by subdividing each DEM into squares with side lengths of 15, 7.5, 3.75, 1.875, 0.9375 and 0.46875 cm. The variation method was used because it allows estimating the fractal dimension of real surfaces56, which do not necessarily behave like pure fractals (for example, they are rarely self-similar across scales). Height range was calculated using the hr() function, and surface area was calculated using the surface_area() function. Three-dimensional models of oyster reefs (15 × 15 cm, n = 28), were obtained using photogrammetry together with structure from motion52 (Supplementary Methods) from four naturally occurring reefs located at Towra Point Nature Reserve, New South Wales, Australia (34°0′56.21″ S, 151°10′ 44.57″ E). Reefs from Towra Point were selected because, at the time of the study, this was the only known location in the Greater Sydney region that contained multiple large undisturbed S. glomerata reefs39.
Three-dimensional models of the 16 artificial habitat units were designed using the three-dimensional graphics software Blender. Each of the 16 artificial habitat designs was three-dimensionally printed in polylactic acid filament and used as a master to create silicon moulds that allowed casting replicate units using concrete. A total of 500 concrete habitat units were produced (480 habitat units for hypothesis testing and 20 habitat units for assessing caging artefacts; see the next section). Concrete releases positive settlement cues for oysters, is easily moulded into a range of geometries and is used as a substrate in restoration projects44,57.
Field experiment
To assess the effects of habitat complexity descriptors on oyster recruitment, we used habitat units (n = 10 for each of the 16 designs) at three estuarine sites in the greater Sydney region, New South Wales, Australia, in October and November 2022: Brisbane Waters (33°30′40.29″ S, 151°10′18.75″ E), the Hawkesbury River (33°33′46.16″ S, 151°13′46.70″ E) and Port Hacking (34°04′41″ S, 151°06′38.03″ E). These sites are adjacent to S. glomerata oyster reefs, indicative of larval supply and support a diverse range of oyster predators58 (Supplementary Table 7). At each of the sites, five units of each design were caged (1 cm mesh; to exclude finfish predators) and five were uncaged (so they could be accessed by predators). At each of the three sites, we deployed units at a mid-intertidal elevation (0.6–0.9 m above the lowest astronomical tide; daily inundation period of about 56%), with units haphazardly interspersed with respect to treatment along the shoreline and separated by at least 15 cm from neighbouring units or natural habitat features (for example, rocks). After twelve months—a period long enough to allow for both settlement and post-settlement mortality to occur—we counted the number of oyster recruits on the surface of each experimental unit. This required scraping oysters out of habitat features to accurately enumerate them, preventing repeated sampling. To test for caging artefacts, partial cages that allow predator access were established for a subset of four designs with five replicates each at one randomly selected site (Brisbane Waters; Supplementary Table 8). We found no effects of caging artefacts in oyster recruitment (Supplementary Table 8). Research activities were performed under the New South Wales Department of Primary Industries scientific collection permit P07/0047-7.0 and approved by Macquarie University Animal Ethics Authority (2019/036).
Statistical analyses
Surface area and height range were base-10-log-transformed to improve model residuals. Oyster densities were square-root-transformed to improve model residuals. Oyster densities were calculated by dividing oyster counts found at each experimental unit by the surface area of the experimental units. We quantified habitat structural complexity–abundance relationships using a GLMM (for count data) and LMMs (for density data), with second-order polynomials to allow for non-linear relationships between predictor and response variables. Study sites were included as random effects. To test our hypothesis that increasing habitat structural complexity would confer benefits to oysters that extend beyond increasing surface area for larval settlement, and that most of these additional benefits would arise from predator mitigation, we first compared the effects of surface area on oyster counts (Fig. 2a) between habitat units with and without cages using a GLMM with a negative binomial distribution. We then compared the effects of both fractal dimension and height range on oyster densities at habitat units with and without cages (Fig. 2b,c) using LMMs to highlight the influence of predation in driving habitat structural complexity–abundance relationships. To test our hypothesis that ecosystem engineering maximizes recruit survival per unit area, we quantified the interactive effect of fractal dimension and height range (for uncaged units only) on oyster densities using a LMM (Fig. 3 and Supplementary Table 5). Residuals for all these models were approximately normal and were homogeneous when plotted against predictor variables. To test for caging artefacts, a zero-inflated generalized linear model was run using a negative binomial distribution to assess treatment effects (n = 2; uncaged and partially caged) on oyster counts. All analyses were conducted in R (ref. 59 ; v.3.6.1) and can be accessed at https://github.com/juan-muelbert/Oyster-complexity.
Reporting summary
Further information on research design is available in the Nature Portfolio Reporting Summary linked to this article.
Data availability
Source data for statistical analyses and figures are available at https://github.com/juan-muelbert/Oyster-complexity.
Code availability
Code for statistical analyses and figures is available at https://github.com/juan-muelbert/Oyster-complexity.
References
Huston, M. A general hypothesis of species diversity. Am. Nat. 113, 81–101 (1979).
Kovalenko, K. E., Thomaz, S. M. & Warfe, D. M. Habitat complexity: approaches and future directions. Hydrobiologia 685, 1–17 (2012).
Jones, C. G., Lawton, J. H. & Shachak, M. in Ecosystem Management: Selected Readings 130–147 (Springer, 1994).
Hastings, A. et al. Ecosystem engineering in space and time. Ecol. Lett. 10, 153–164 (2007).
Boogert, N. J., Paterson, D. M. & Laland, K. N. The implications of niche construction and ecosystem engineering for conservation biology. Bioscience 56, 570–578 (2006).
LaRue, E. A. et al. A theoretical framework for the ecological role of three-dimensional structural diversity. Front. Ecol. Environ. 21, 4–13 (2023).
Torres-Pulliza, D. et al. A geometric basis for surface habitat complexity and biodiversity. Nat. Ecol. Evol. 4, 1495–1501 (2020).
Duarte, C. M. et al. Rebuilding marine life. Nature 580, 39–51 (2020).
Benayas, J. M. R., Newton, A. C., Diaz, A. & Bullock, J. M. Enhancement of biodiversity and ecosystem services by ecological restoration: a meta-analysis. Science 325, 1121–1124 (2009).
Arrhenius, O. Species and area. J. Ecol. 9, 95–99 (1921).
Macarthur, R. H. & Wilson, E. O. The Theory of Island Biogeography (Princeton Univ. Press, 1967).
Bishop, M. J., Vozzo, M. L., Mayer-Pinto, M. & Dafforn, K. A. Complexity–biodiversity relationships on marine urban structures: reintroducing habitat heterogeneity through eco-engineering. Philos. Trans. R. Soc. B 377, 20210393 (2022).
McAfee, D., Bishop, M. J., Yu, T. & Williams, G. A. Structural traits dictate abiotic stress amelioration by intertidal oysters. Funct. Ecol. 32, 2666–2677 (2018).
Strain, E. M. A. et al. Increasing microhabitat complexity on seawalls can reduce fish predation on native oysters. Ecol. Eng. 120, 637–644 (2018).
Temmink, R. J. M. et al. Mimicry of emergent traits amplifies coastal restoration success. Nat. Commun. 11, 3668 (2020).
Kiessling, W., Simpson, C. & Foote, M. Reefs as cradles of evolution and sources of biodiversity in the Phanerozoic. Science 327, 196–198 (2010).
Gurney, W. S. C. & Lawton, J. H. The population dynamics of ecosystem engineers. Oikos 76, 273–283 (1996).
Wright, J. P., Gurney, W. S. C. & Jones, C. G. Patch dynamics in a landscape modified by ecosystem engineers. Oikos 105, 336–348 (2004).
Shurin, J. B. & Allen, E. G. Effects of competition, predation, and dispersal on species richness at local and regional scales. Am. Nat. 158, 624–637 (2001).
Meira, A., Byers, J. E. & Sousa, R. A global synthesis of predation on bivalves. Biol. Rev. 99, 1015–1057 (2024).
Esquivel-Muelbert, J. R. et al. Spatial variation in the biotic and abiotic filters of oyster recruitment: implications for restoration. J. Appl. Ecol. 59, 953–964 (2022).
Heck, Jr, K. L. & Wetstone, G. S. Habitat complexity and invertebrate species richness and abundance in tropical seagrass meadows. J. Biogeogr. 4, 135–142 (1977).
Pearson, R. G. Recovery and recolonization of coral reefs. Mar. Ecol. Prog. Ser. 4, 105–122 (1981).
Nakamura, T. & Nakamori, T. A geochemical model for coral reef formation. Coral Reefs 26, 741–755 (2007).
Rodriguez, A. B. et al. Oyster reefs can outpace sea-level rise. Nat. Clim. Chang. 4, 493–497 (2014).
Grabowski, J. H. & Powers, S. P. Habitat complexity mitigates trophic transfer on oyster reefs. Mar. Ecol. Prog. Ser. 277, 291–295 (2004).
Graham, N. A. J. & Nash, K. L. The importance of structural complexity in coral reef ecosystems. Coral Reefs 32, 315–326 (2013).
D’Urban Jackson, T., Williams, G. J., Walker-Springett, G. & Davies, A. J. Three-dimensional digital mapping of ecosystems: a new era in spatial ecology. Proc. R. Soc. B 287, 20192383 (2020).
Cannon, D. J., Kibler, K. M., Taye, J. & Medeiros, S. C. Characterizing canopy complexity of natural and restored intertidal oyster reefs (Crassostrea virginica) with a novel laser-scanning method. Restor. Ecol. 31, e13973 (2023).
Warfe, D. M., Barmuta, L. A. & Wotherspoon, S. Quantifying habitat structure: surface convolution and living space for species in complex environments. Oikos 117, 1764–1773 (2008).
Nash, K. L., Graham, N. A. J., Wilson, S. K. & Bellwood, D. R. Cross-scale habitat structure drives fish body size distributions on coral reefs. Ecosystems 16, 478–490 (2013).
Reichert, J., Backes, A. R., Schubert, P. & Wilke, T. The power of 3D fractal dimensions for comparative shape and structural complexity analyses of irregularly shaped organisms. Methods Ecol. Evol. 8, 1650–1658 (2017).
Tokeshi, M. & Arakaki, S. Habitat complexity in aquatic systems: fractals and beyond. Hydrobiologia 685, 27–47 (2012).
Esquivel-Muelbert, J., Lanham, B. S., Didderen, K., Van Der Heide, T. & Bishop, M. J. Patterns of oyster recruitment and habitat provision across tidal elevation gradients are dependent on predator mitigation methods. J. Appl. Ecol. 62, 726–738 (2025).
Temmink, R. J. M. et al. Life cycle informed restoration: engineering settlement substrate material characteristics and structural complexity for reef formation. J. Appl. Ecol. 58, 2158–2170 (2021).
Silliman, B. R. et al. Facilitation shifts paradigms and can amplify coastal restoration efforts. Proc. Natl Acad. Sci. USA 112, 14295–14300 (2015).
Laland, K. N., Odling-Smee, F. J. & Feldman, M. W. Evolutionary consequences of niche construction and their implications for ecology. Proc. Natl Acad. Sci. USA 96, 10242–10247 (1999).
Beck, M. W. et al. Oyster reefs at risk and recommendations for conservation, restoration, and management. Bioscience 61, 107–116 (2011).
Gillies, C. L. et al. Conservation status of the oyster reef ecosystem of southern and eastern Australia. Glob. Ecol. Conserv. 22, e00988 (2020).
Grabowski, J. H. et al. Economic valuation of ecosystem services provided by oyster reefs. Bioscience 62, 900–909 (2012).
Bayraktarov, E. et al. The cost and feasibility of marine coastal restoration. Ecol. Appl. 26, 1055–1074 (2016).
Hemraj, D. A. et al. Oyster reef restoration fails to recoup global historic ecosystem losses despite substantial biodiversity gain. Sci. Adv. 8, eabp8747 (2022).
Brumbaugh, R. D. & Coen, L. D. Contemporary approaches for small-scale oyster reef restoration to address substrate versus recruitment limitation: a review and comments relevant for the Olympia oyster, Ostrea lurida Carpenter 1864. J. Shellfish Res. 28, 147–161 (2009).
Fitzsimons, J. A. et al. Restoring shellfish reefs: global guidelines for practitioners and scientists. Conserv. Sci. Pract. 2, e198 (2020).
Lipcius, R. N., Zhang, Y., Zhou, J., Shaw, L. B. & Shi, J. Modeling oyster reef restoration: larval supply and reef geometry jointly determine population resilience and performance. Front. Mar. Sci. 8, 677640 (2021).
Schulte, D. M., Burke, R. P. & Lipcius, R. N. Unprecedented restoration of a native oyster metapopulation. Science 325, 1124–1128 (2009).
Fodrie, F. J. et al. Classic paradigms in a novel environment: inserting food web and productivity lessons from rocky shores and saltmarshes into biogenic reef restoration. J. Appl. Ecol. 51, 1314–1325 (2014).
Temmink, R. J. M., Angelini, C., Verkuijl, M. & van der Heide, T. Restoration ecology meets design-engineering: mimicking emergent traits to restore feedback-driven ecosystems. Sci. Total Environ. 902, 166460 (2023).
Crain, C. M. & Bertness, M. D. Ecosystem engineering across environmental gradients: implications for conservation and management. Bioscience 56, 211–218 (2006).
Powers, S. P., Peterson, C. H., Grabowski, J. H. & Lenihan, H. S. Success of constructed oyster reefs in no-harvest sanctuaries: implications for restoration. Mar. Ecol. Prog. Ser. 389, 159–170 (2009).
Tracy, A. M. et al. Oyster reef habitat depends on environmental conditions and management across large spatial scales. Mar. Ecol. Prog. Ser. 721, 103–117 (2023).
Figueira, W. et al. Accuracy and precision of habitat structural complexity metrics derived from underwater photogrammetry. Remote Sens. 7, 16883–16900 (2015).
Esquivel-Muelbert, J. R., Alleway, H. K. & Bishop, M. J. Shellfish reef aquaculture: a perspective on the systematic cultivation of endangered biogenic habitats. Restor. Ecol. 32, e14166 (2024).
Howie, A. H., Reeves, S. E., Gillies, C. L. & Bishop, M. J. Integration of social data into restoration suitability modelling for oyster reefs. Ecol. Indic. 158, 111531 (2024).
Schiettekatte, N. M. D. et al. Habtools: an R package to calculate 3D metrics for surfaces and objects. Methods Ecol. Evol. 16, 895–903 (2025).
Dubuc, B., Zucker, S. W., Tricot, C., Quiniou, J. F. & Wehbi, D. Evaluating the fractal dimension of surfaces. Proc. R. Soc. London. A 425, 113–127 (1989).
Anderson, M. J. A chemical cue induces settlement of Sydney rock oysters, Saccostrea commercialis, in the laboratory and in the field. Biol. Bull. 190, 350–358 (1996).
Martinez-Baena, F. et al. Trophic structure of temperate Australian oyster reefs within the estuarine seascape: a stable isotope analysis. Estuaries Coasts 46, 844–859 (2023).
R Core Team. R: A Language and Environment for Statistical Computing (R Foundation for Stastical Computing, 2023); https://www.R-project.org/.
Acknowledgements
We thank A. Goad, A. Williamson and S. Williamson for their assistance with the production of the artificial habitat units, and K. Faelnar and Z. Hoe Lee for their assistance during fieldwork. This work was funded by a Hermon Slade Foundation grant (to M.J.B and J.R.E.M). J.R.E.M was supported by a Macquarie University Research Excellence Scholarship. J.S.M. was supported by the US National Science Foundation (grant no. 1948946). L.F was supported by a Macquarie University Research Fellowship (grant no. MQRF0001183-2022).
Author information
Authors and Affiliations
Contributions
J.R.E.M, L.F., K.Z., M.J.B. and J.S.M conceptualized the study. J.R.E.M designed and produced the artificial habitat units used in the study. J.R.E.M, L.F. and K.Z conducted the field experiment, ran the analyses and produced the figures. K.E. and W.F. generated the three-dimensional models of naturally occurring oyster reefs. J.R.E.M led the project. J.R.E.M and M.J.B funded the project. J.R.E.M wrote the first draft of the paper and all authors reviewed at least one draft.
Corresponding author
Ethics declarations
Competing interests
The authors declare no competing interests.
Peer review
Peer review information
Nature thanks Jonathan Shurin and the other, anonymous, reviewer(s) for their contribution to the peer review of this work.
Additional information
Publisher’s note Springer Nature remains neutral with regard to jurisdictional claims in published maps and institutional affiliations.
Supplementary information
Supplementary Information
Supplementary Methods and Tables 1–8.
Rights and permissions
Open Access This article is licensed under a Creative Commons Attribution-NonCommercial-NoDerivatives 4.0 International License, which permits any non-commercial use, sharing, distribution and reproduction in any medium or format, as long as you give appropriate credit to the original author(s) and the source, provide a link to the Creative Commons licence, and indicate if you modified the licensed material. You do not have permission under this licence to share adapted material derived from this article or parts of it. The images or other third party material in this article are included in the article’s Creative Commons licence, unless indicated otherwise in a credit line to the material. If material is not included in the article’s Creative Commons licence and your intended use is not permitted by statutory regulation or exceeds the permitted use, you will need to obtain permission directly from the copyright holder. To view a copy of this licence, visit http://creativecommons.org/licenses/by-nc-nd/4.0/.
About this article
Cite this article
Esquivel-Muelbert, J.R., Fontoura, L., Zawada, K. et al. The natural architecture of oyster reefs maximizes recruit survival. Nature (2026). https://doi.org/10.1038/s41586-026-10103-8
Received:
Accepted:
Published:
Version of record:
DOI: https://doi.org/10.1038/s41586-026-10103-8


