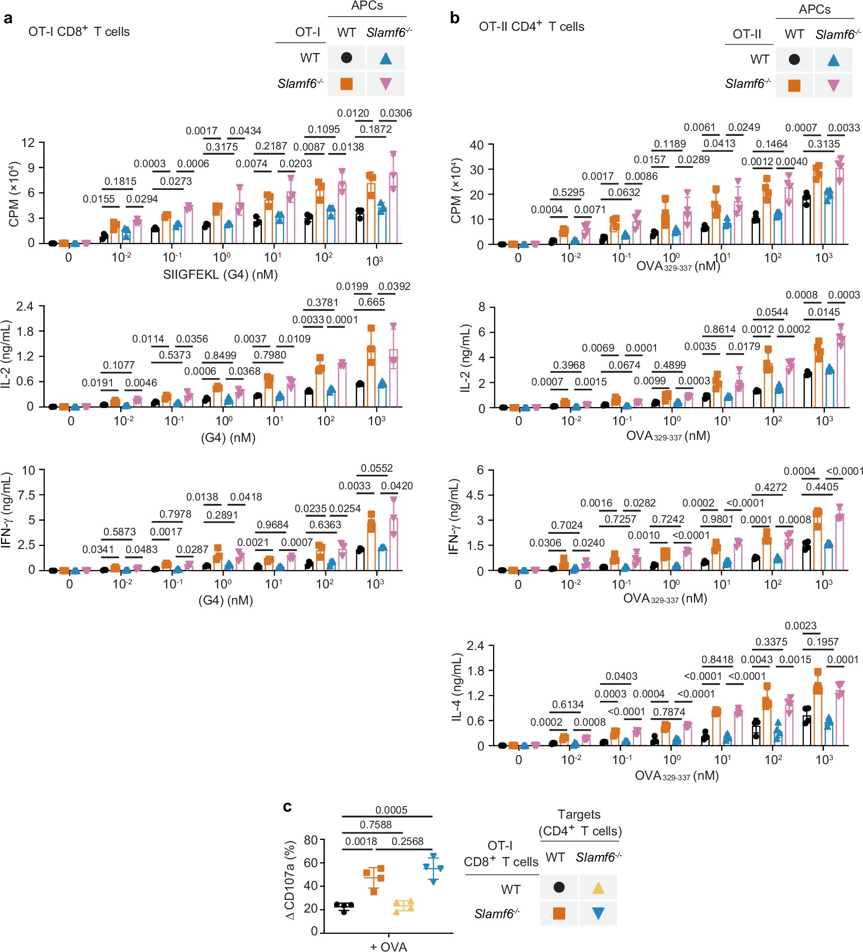
Extended Data Fig. 3: SLAMF6 deficiency improves T cell responses independently of SLAMF6 on APCs.
From: SLAMF6 as a drug-targetable suppressor of T cell immunity against cancer

a, As per Fig. 1c, except that OT-I CD8+ T cells in the presence of weak agonist OVA peptide G4 was tested. n = 3 mice. b, As per Fig. 1c, except that OT-II CD4+ T cells were evaluated. n = 4 mice. c, As per Fig. 1d, except that cytotoxic T-lymphocytes (CTLs) were incubated for 3 h with CD4+ T cells pulsed or not with OVA peptide. Degranulation was determined by surface staining of CD107a. n = 4 mice. Each symbol in a-c represents an individual mouse; error bars represent mean ± s.d. Numbers above data points represent p values. Two-sided unpaired Student’s t-test (a-c). n = 4 mice from 3 independent experiments (a-c).