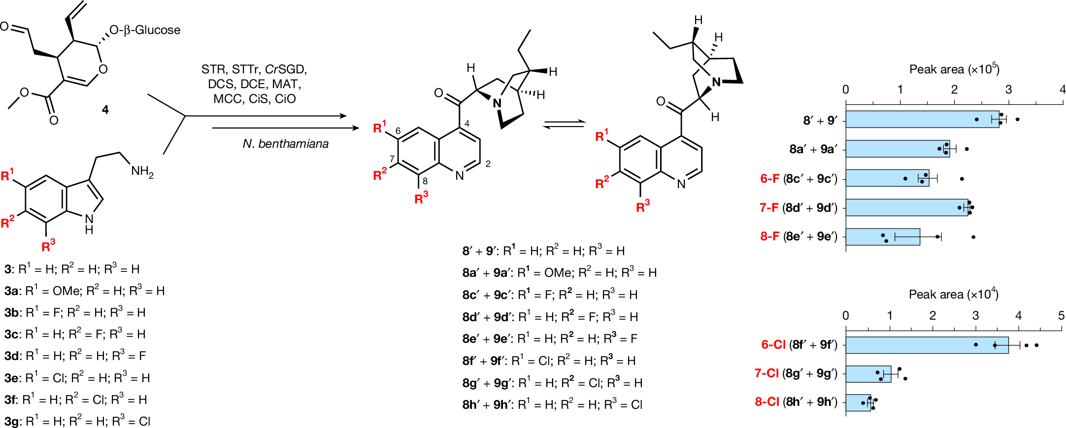
Fig. 5: Biosynthesis of halogenated analogues of quinoline cinchona alkaloids.

Directed biosynthesis of fluorinated and chlorinated analogues of cinchona alkaloids in N. benthamiana following transient expression of the indicated biosynthetic enzymes and co-infiltration of 4 and halogenated tryptamines (3b–3g). LC–MS peak areas are shown and data are the mean ± s.e.m. (n = 4 biological replicates). Data from assays using the native substrates, 3 and 3a, are included for relative comparison of the efficiency of the enzymes. For EICs and MS/MS data, see Supplementary Figs. 35 and 36.