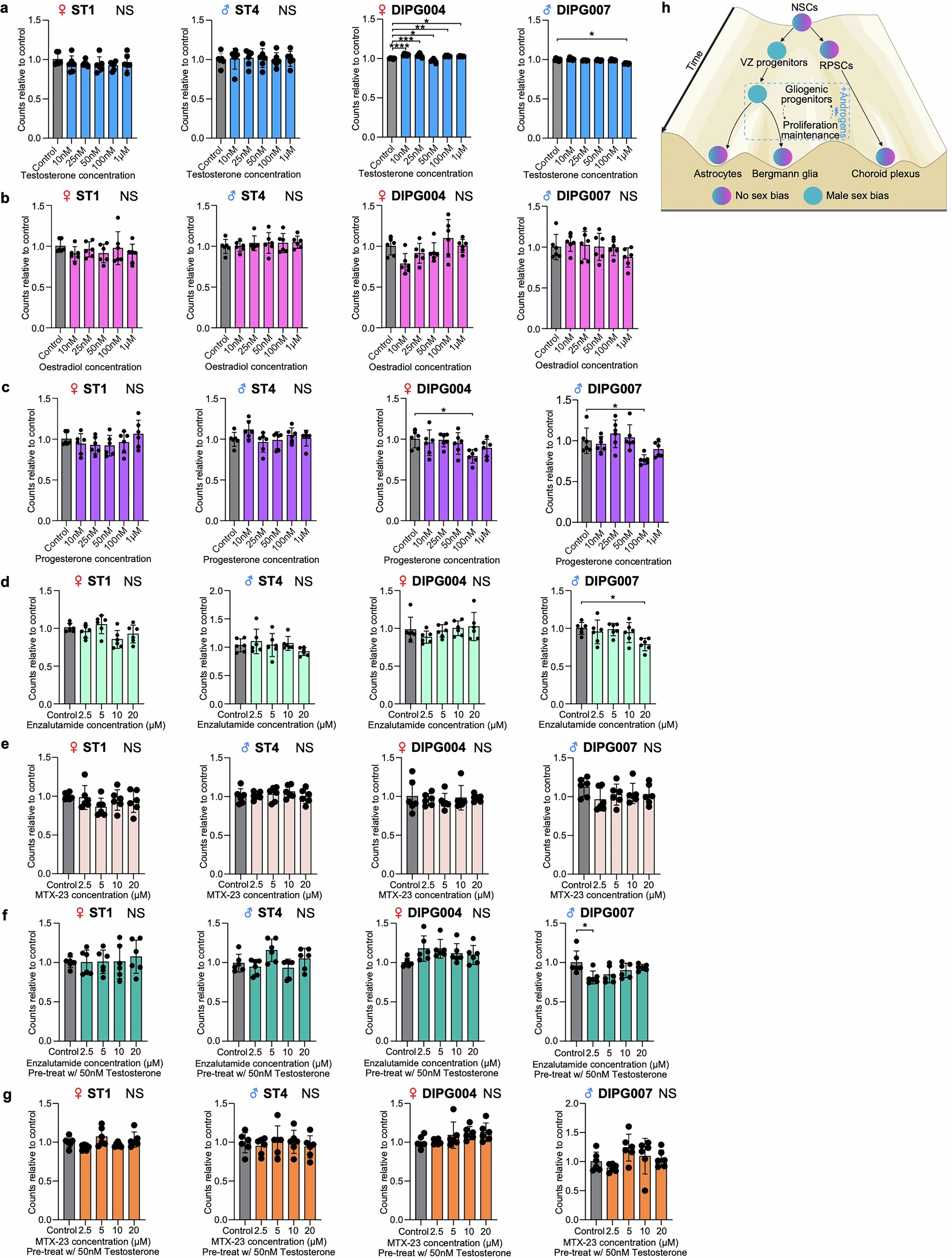
Extended Data Fig. 11: Androgens have minimal effects on cell growth in vitro in ST-EPN and DIPG compared with PFA-EPN.
From: Androgen activity in the male embryonic hindbrain drives lethal PFA ependymoma

a–c, ST-EPN cell lines (ST1 and ST4) and DIPG cell lines (DIPG004 and DIPG007) were cultured with testosterone (a), oestradiol (b) or progesterone (c) for 7 days at concentrations ranging from 10 nM to 1 uM. Cell counts were normalized to vehicle control for each line. d,e, ST-EPN cell lines (ST1 and ST4) and DIPG cell lines (DIPG004 and DIPG007) were cultured with the AR inhibitor enzalutamide (d) or MTX-23 (e) at concentrations ranging from 2.5 µM to 20 µM for 7 days. Cell counts were normalized to the vehicle control for each line. f,g, ST-EPN cell lines (ST1 and ST4) and DIPG cell lines (DIPG004 and DIPG007) were pre-treated with 50 nM testosterone for 7 days, followed by treatment with the AR inhibitor enzalutamide (f) or MTX-23 (g) at concentrations ranging from 2.5 µM to 20 µM for 7 days. Cell counts were normalized to the vehicle control for each line. a–g, n = 2 biological replicates, each with 3 technical replicates. Data are displayed as mean ± s.d. Statistical comparisons were performed using a one-way ANOVA on replicates followed by a Tukey’s post-hoc test; *P < 0.05, **P < 0.01, ***P < 0.001, ****P < 0.0001; NS, not significant. Exact P values are provided in the Source Data. h, Schematic of proposed cellular hierarchy for PFA-EPNs. Created in BioRender; Pomada Villalbi, A. https://BioRender.com/y8qtbvf (2025).