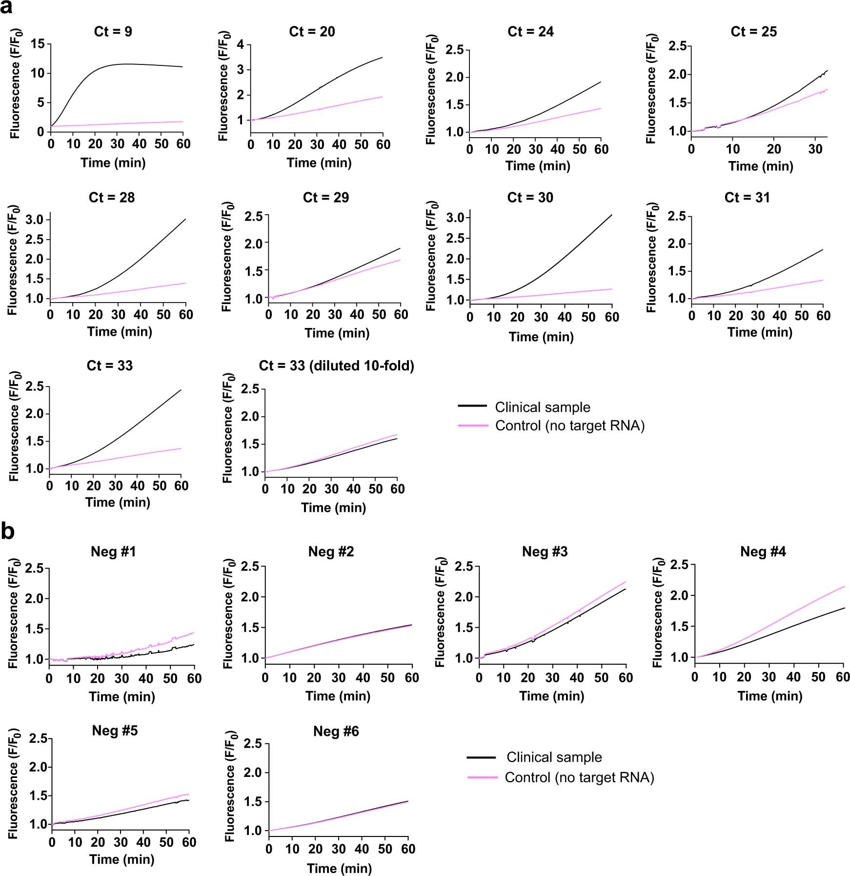
Extended Data Fig. 9: Testing clinical samples with FIND-IT assay in a compact fluorescence detector, related to Fig. 4.
From: Accelerated RNA detection using tandem CRISPR nucleases

a) Testing of SARS-CoV-2-positive clinical samples with FIND-IT using the compact detector in Fig. 4a–c. Images of the reaction wells were taken every 10 s for either 33 min (sample with a Ct value of 25) or 60 min (all other samples). Normalized fluorescence (F/F0) of a sample reaction (black lines) and a control reaction run in parallel (pink lines) are plotted in each graph. Ct values for the N gene, S gene, and ORF1ab locus were previously determined by qRT-PCR in the IGI testing laboratory, and the average Ct value is shown for each sample tested (individual Ct values are provided in Supplementary Table 5). A reaction was also prepared in which a sample with a Ct value of 33 was diluted 10-fold in water prior to analysis (‘Ct =33 (diluted 10-fold)’). b) As in a, but for clinical samples with Ct values > 37, which are considered negative for SARS-CoV-2, based on the qRT-PCR assay used by the IGI testing laboratory30. These data were used to determine the mean and s.d. of the fluorescence change of negative clinical samples (black) relative to their controls (pink; see Methods for details).