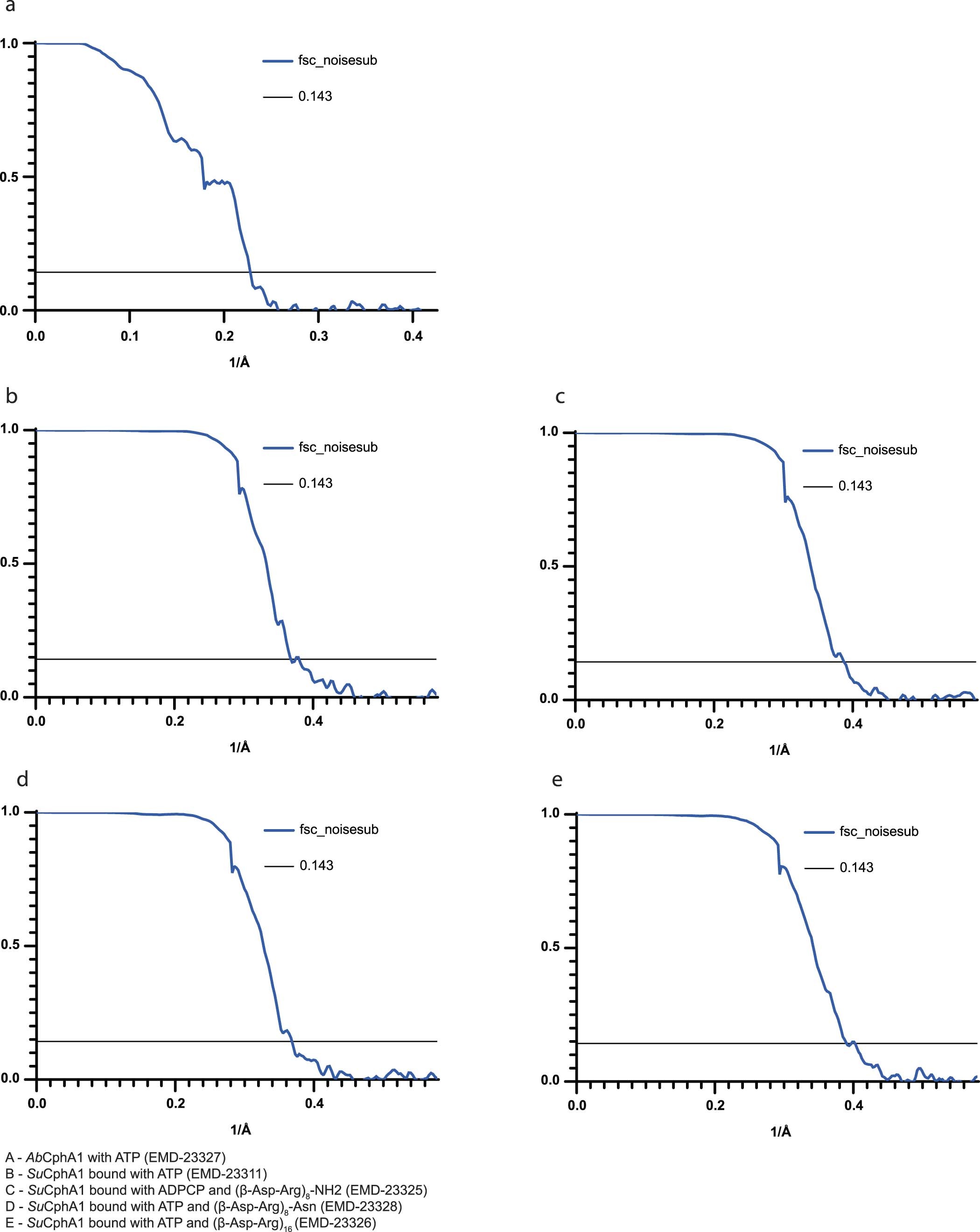
Extended Data Fig. 7: Fourier shell correlation for EM datasets.
From: Structures and function of the amino acid polymerase cyanophycin synthetase

FSC plots for all EM maps determined in this study.
From: Structures and function of the amino acid polymerase cyanophycin synthetase

FSC plots for all EM maps determined in this study.