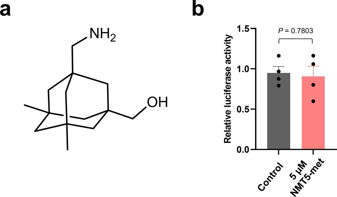
Extended Data Fig. 7: Critical role of nitro group of NMT5 suppressing SARS-CoV-2 infection on pseudovirus entry assay.
From: Targeted protein S-nitrosylation of ACE2 inhibits SARS-CoV-2 infection

a, Chemical structure of NMT5 metabolite (NMT5-met, lacking the nitro group). b, HeLa-ACE2 cells were incubated in the presence and absence of 5 µM NMT5-met with SARS-CoV-2 Spike (D614) pseudovirus particles. After 48 h, viral transduction efficiency was monitored by luciferase activity. Inhibitory activity was lost in the absence of the nitro group (compare with Fig. 3c,e). Data are mean + s.e.m. by two-tailed Student’s t test. n = 4 biological replicates.