Extended Data Fig. 3: Clonal analysis of base editing outcomes.
From: Base editor scanning charts the DNMT3A activity landscape

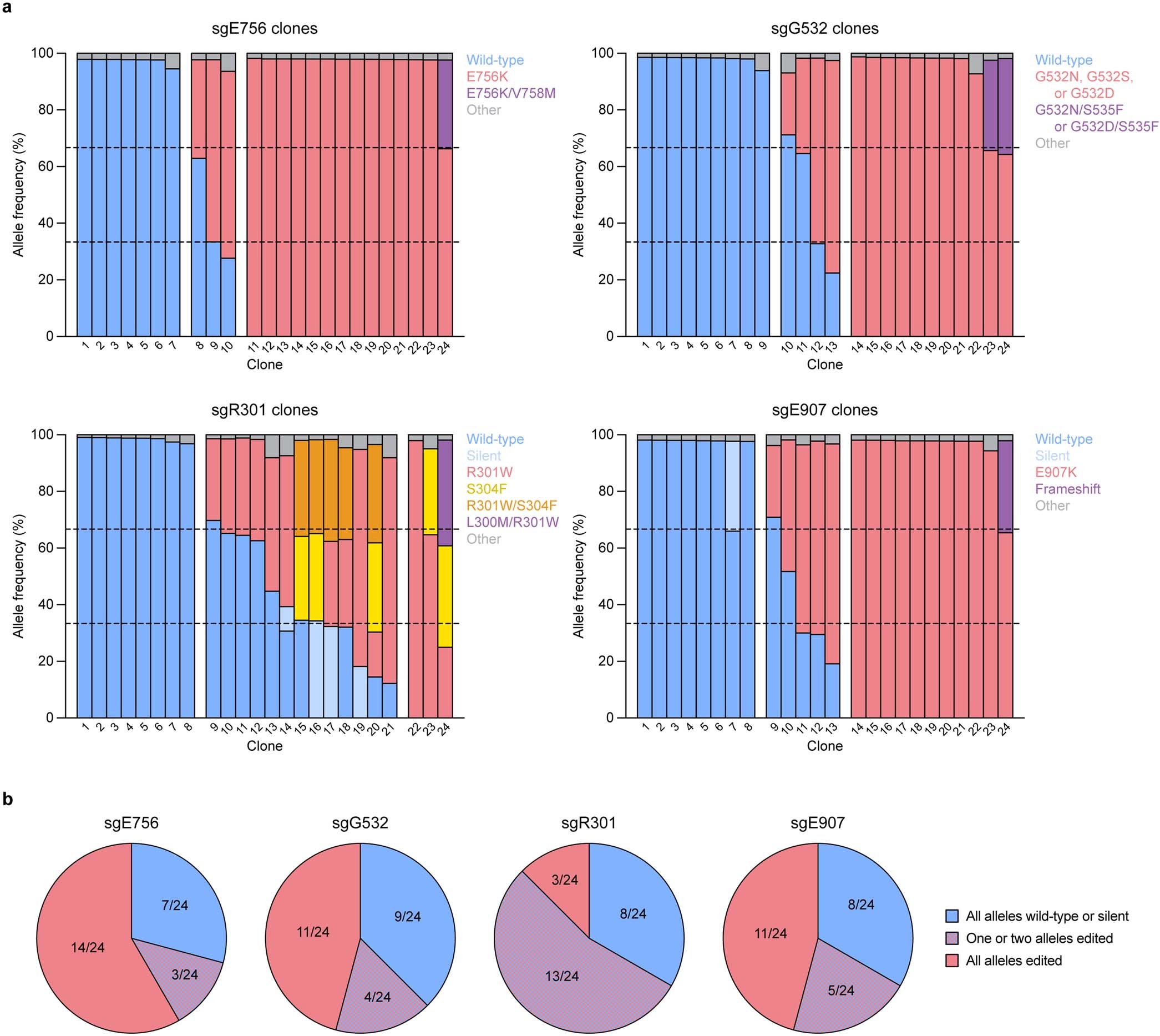
a, Barplots showing the frequencies of wild-type (blue) and base-edited (other colors as defined in the legend of each plot) alleles in clones derived from sgRNA-treated reporter cells (n = 24 clones for each sgRNA). Single cells were plated using FACS and expanded to derive clonal populations, followed by isolation of genomic DNA using QuickExtract DNA extraction solution (Lucigen). Library preparation, sequencing and analysis were performed as for other genotyping experiments. In plots, each bar represents a clone, and theoretical allele frequencies are indicated by dotted lines (note that K562 is triploid for DNMT3A and therefore three alleles are expected for each clone). All alleles with less than 5% allele frequency were pooled and designated as ‘Other.’ Alleles containing both missense and silent mutations were classified based on the missense mutation. Allele tables for each clone are shown in Supplementary Data 6. b, Summary of results in a showing the fractions of clones for each sgRNA that contain only wild-type or silent alleles (blue), only nonsynonymous edited alleles (red) or a combination of wild-type/silent and nonsynonymous edited alleles (blue/red checkered).