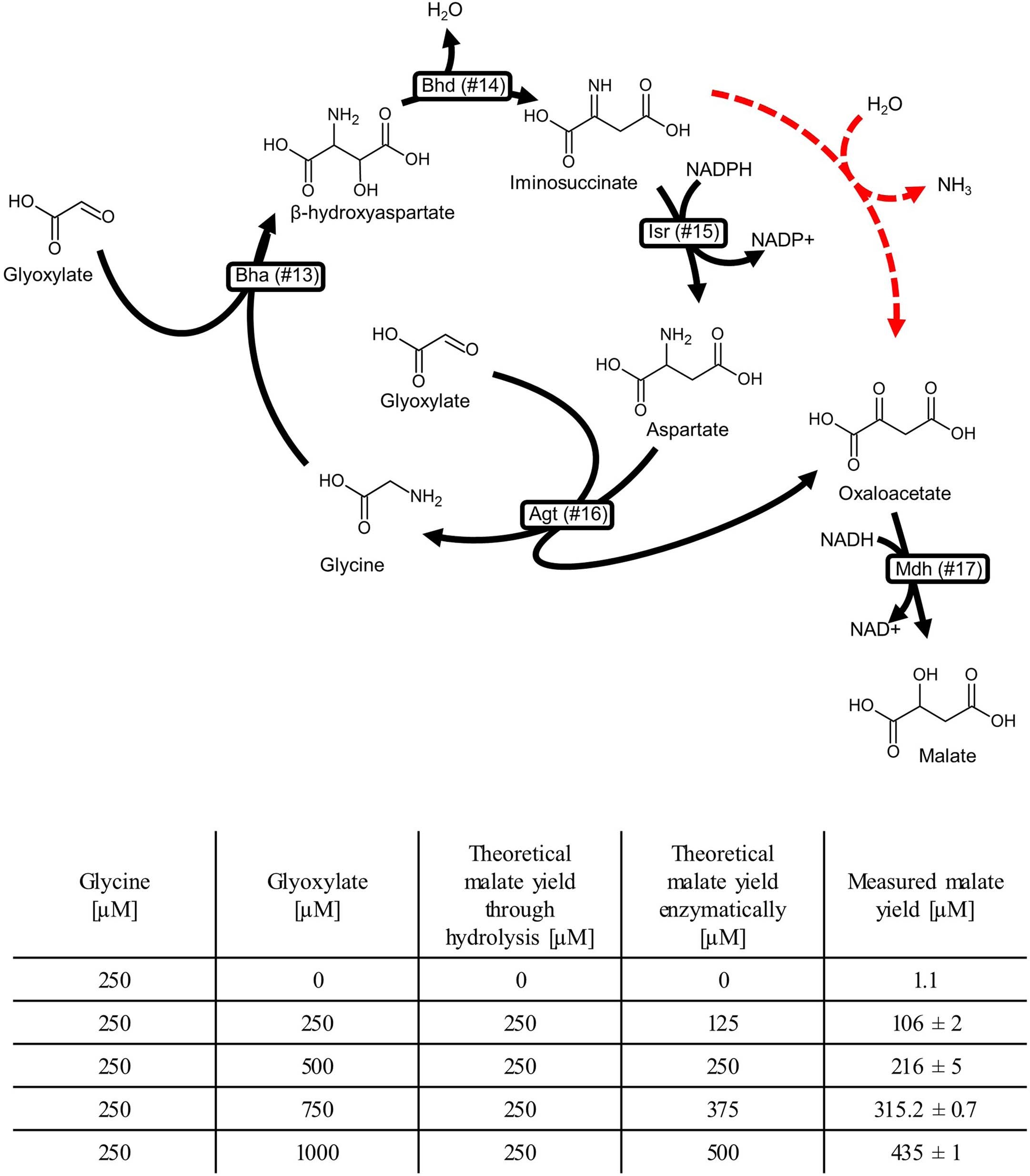
Extended Data Fig. 1: Malate production by the BHAC at varying glyoxylate concentrations.
From: Synthetic anaplerotic modules for the direct synthesis of complex molecules from CO2

To assess whether the glyoxylate assimilation sequence of the BHAC (reactions #13-17, black arrows) is active, we tested different concentrations of glyoxylate with a set amount of glycine (250 µM). Non-enzymatic hydrolysis (red arrow) of iminosuccinate to oxaloacetate would result in both depletion of the amino-group and oxaloacetate derived from the co-substrate glycine, limiting the detectable yields of malate to equivalent concentration. Thus, malate yields exceeding 250 µM indicate amino-group recycling and multiple turns of the cycle. The results are displayed in the table, and malate concentrations indicating multiple cycle turns were detected for all setups containing a sufficient glyoxylate starting concentration.