Extended Data Fig. 8: Circular dichroism spectra of exogenous peptides.
From: An E. coli display method for characterization of peptide–sensor kinase interactions

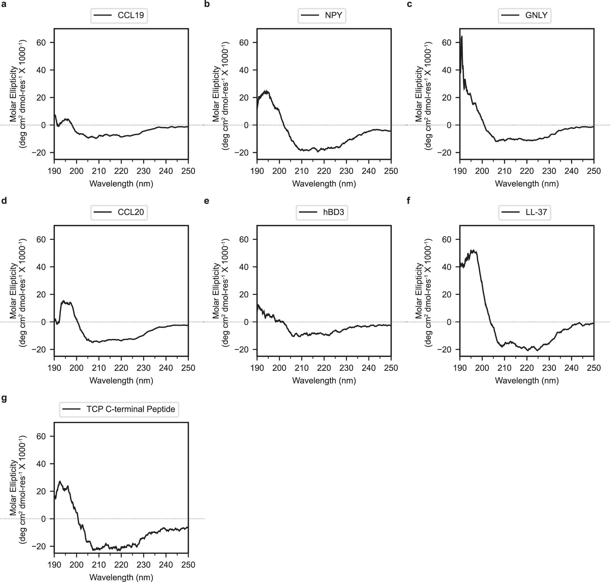
(a-g) Spectra were collected as the average of 5-10 accumulations for a single sample. For all peptides, the absence of a minimum between 196-200 nm is consistent with secondary structure formation. Minima at 210 and 225 nm are characteristic of α-helical character, while a minimum at 218 nm is characteristic of β-sheet character. The broad minima observed for all peptides between 205–225 nm is characteristic of α-helical character and may also be obscuring a weak β-sheet signal. These spectra indicate proper folding of the peptides in accordance with their previously-reported secondary structures.