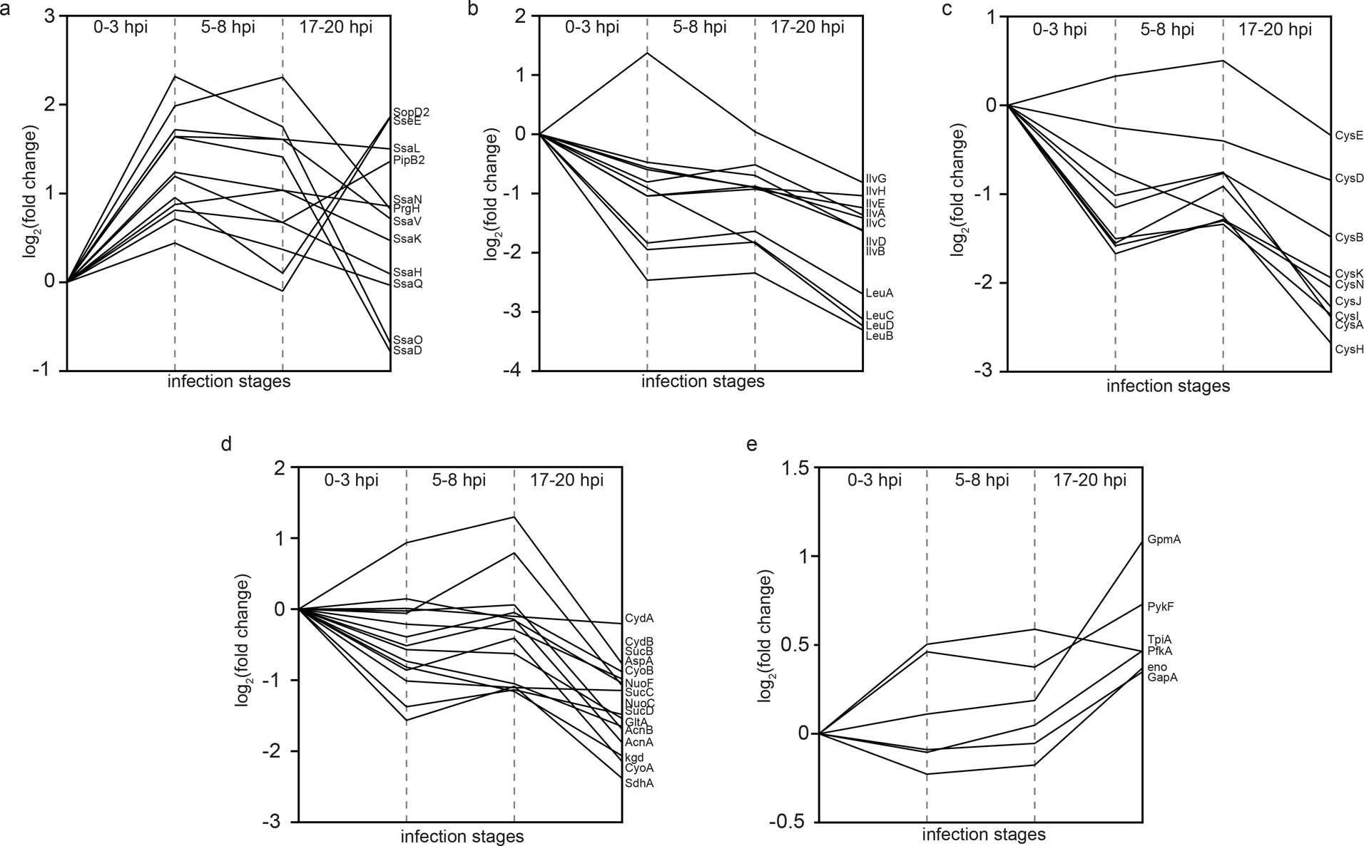
Extended Data Fig. 5: Quantification of synthesis of S. Typhimurium proteins during infection.
From: Photo-ANA enables profiling of host–bacteria protein interactions during infection

Quantification of synthesis of proteins related to secretion system and virulence (a), metabolism of branched-chain amino acids (b) and cysteine (c), TCA cycle and oxidative phosphorylation (d), and glycolysis (e).