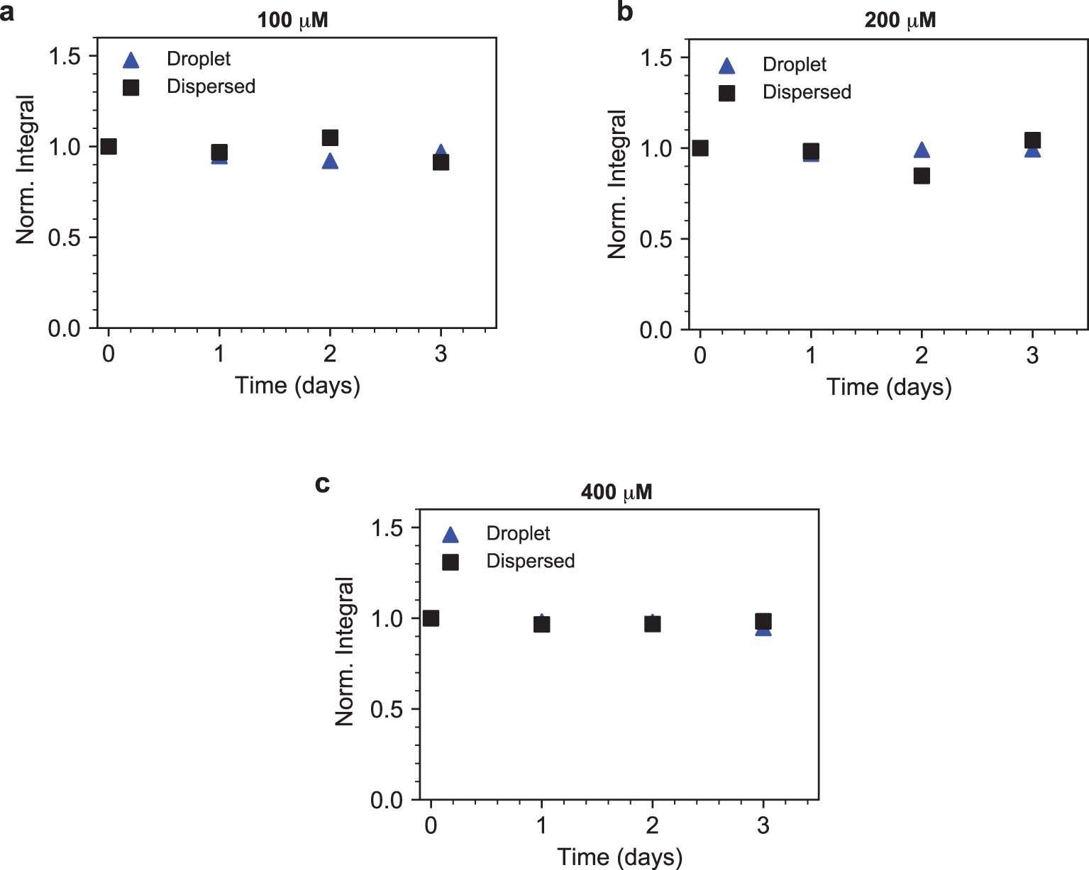
Extended Data Fig. 3: FUS fractions over time measured from the same protein stock at various concentrations.
From: A solid beta-sheet structure is formed at the surface of FUS droplets during aging

a, b, c) Both droplet and dispersed fractions of FUS did not change over the course of three days for all concentration measured (a: 100 μM, b: 200 μM, c: 400 μM).