Thank you for visiting nature.com. You are using a browser version with limited support for CSS. To obtain
the best experience, we recommend you use a more up to date browser (or turn off compatibility mode in
Internet Explorer). In the meantime, to ensure continued support, we are displaying the site without styles
and JavaScript.
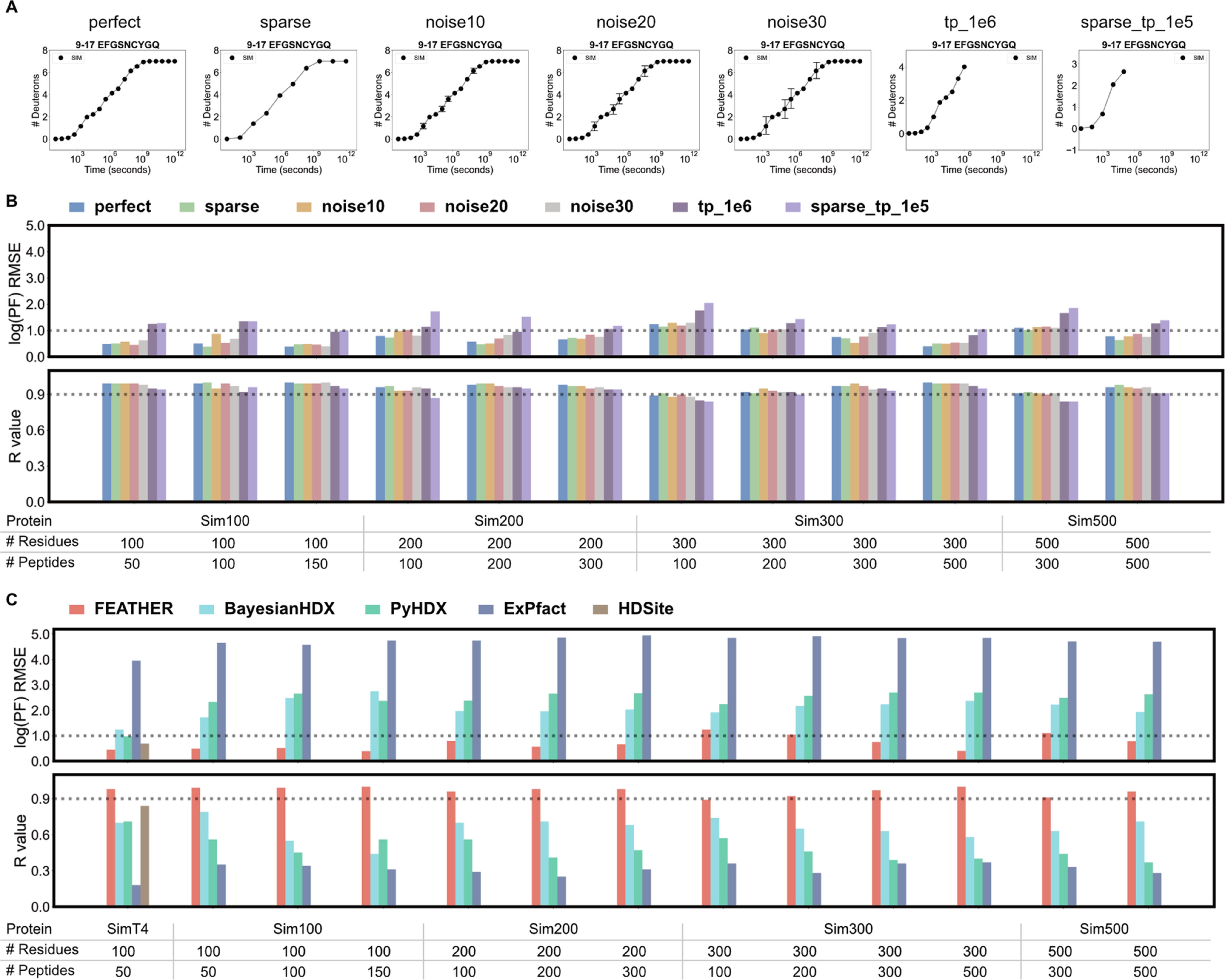
a, Simulated datasets with varying data quality. b, Benchmarks on the simulated datasets. c, Comparison to other methods using the perfect simulated dataset. The raw data are available in Supplementary Tables 6 and 7.