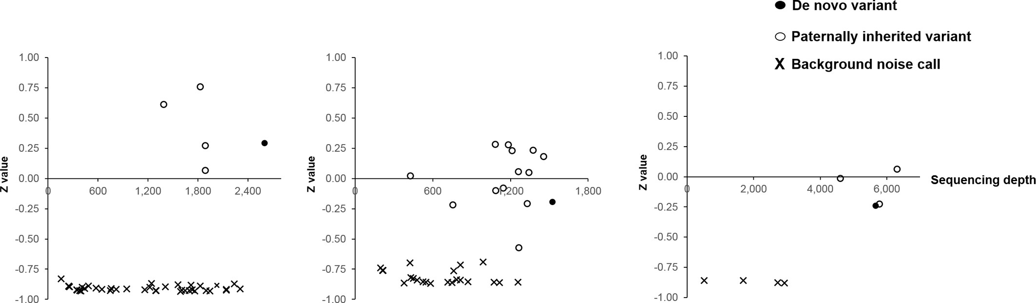
Extended Data Fig. 2: Z-value plots for three representative samples which had de novo, paternally inherited, and false analytical variants with UMI deduplication and consolidation for NGS reads and variant calling/filtering.

The paternally inherited variants and confirmed de novo variants deemed true positives had Z > −0.6.