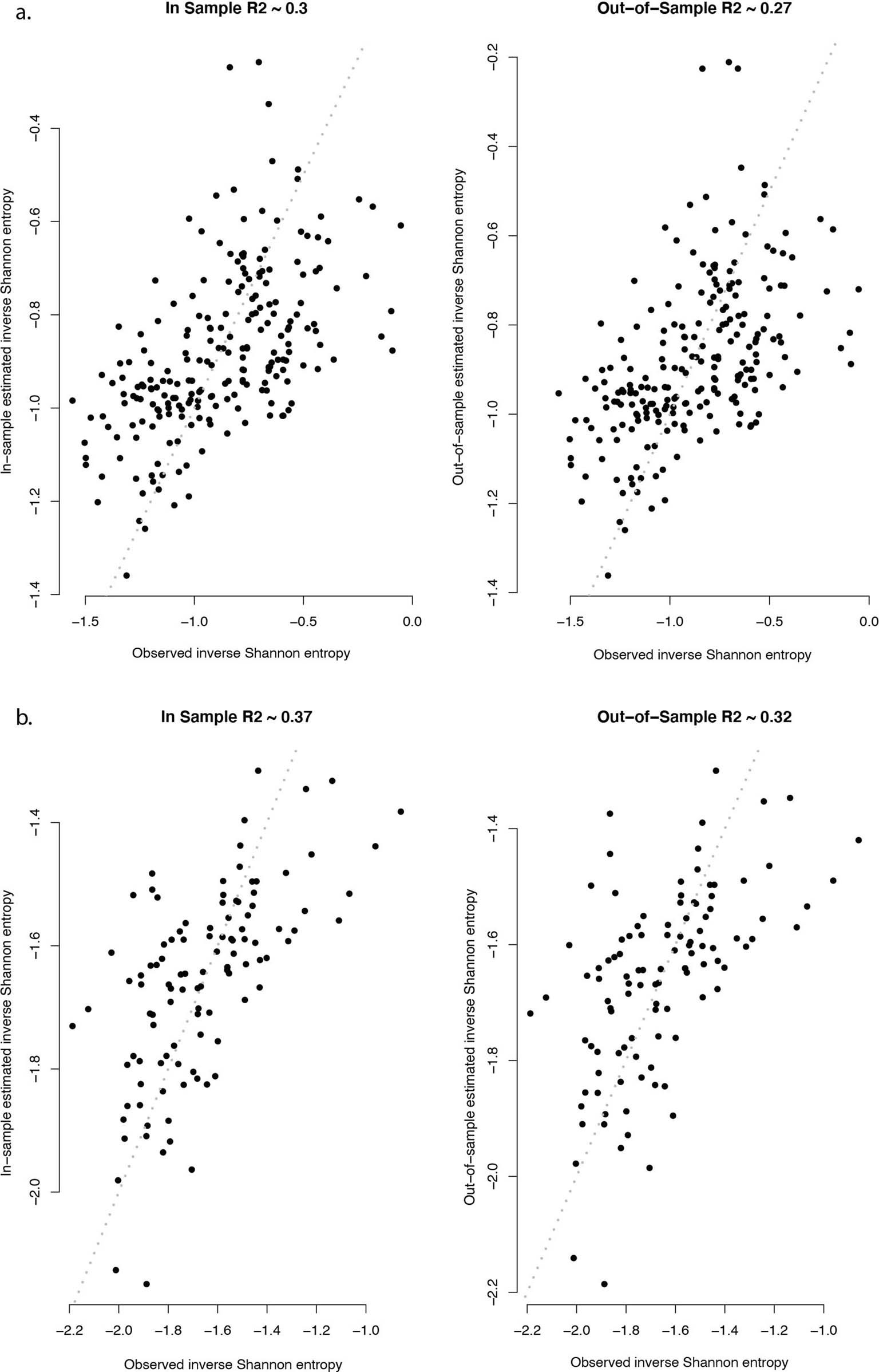
Extended Data Fig. 6

Out-of-sample prediction (n-fold cross validation) over all prefectures in China a, b, and all provinces in Italy c, d. In-sample prediction in China (R2 = 0.32) compares well to out-of-sample predictions (R2 = 0.28). In-sample prediction in Italy (R2 = 0.38) compares well to out of sample predictions (R2 = 0.32).