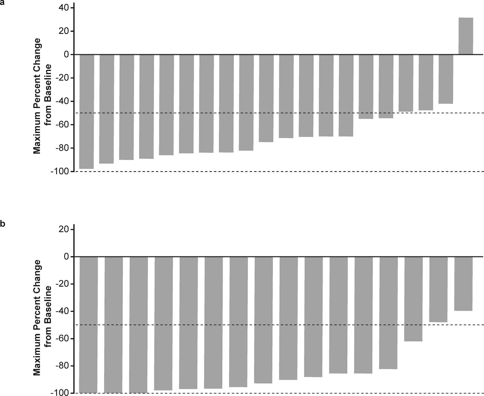
Extended Data Fig. 5: Change from Baseline in Clinicopathological Measures of Disease Burden.

a, Peripheral blood absolute monocyte count in patients with SM-CMML. b, Peripheral blood absolute eosinophil count in patients with baseline eosinophilia. SM-CMML, systemic mastocytosis with chronic myelomonocytic leukemia.