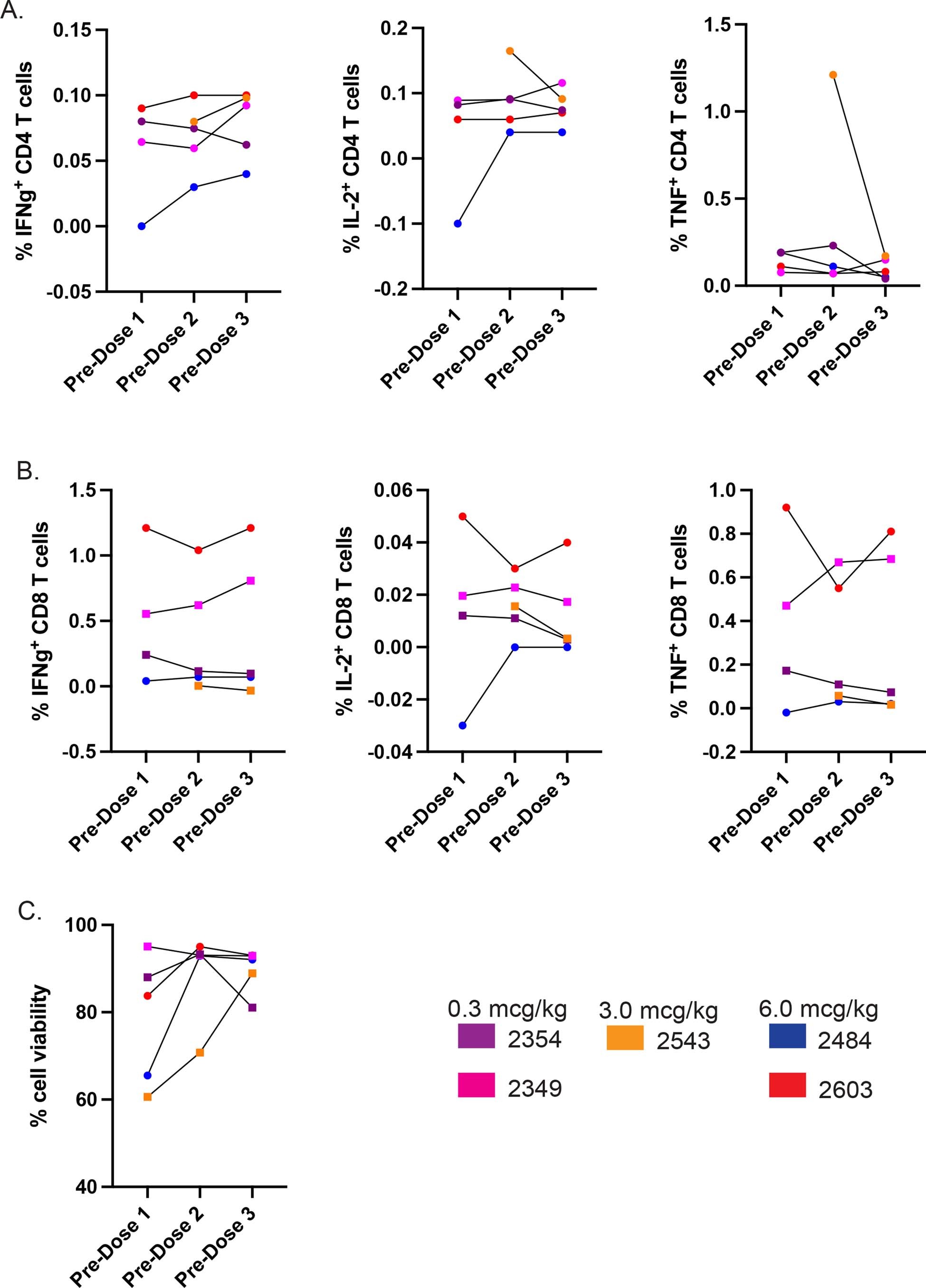
Extended Data Fig. 4: Cell viability and cytokine release after stimulation.

IL-2, IFNg, and TNF expression is measured in CD4 T cells (a) and CD8 T cells (b) after stimulation in a subset of 5 individuals where there were sufficient samples for analysis. There was no consistent change in IFNγ, IL-2, or TNF expression in either cell type. Cell viability is also presented (c).