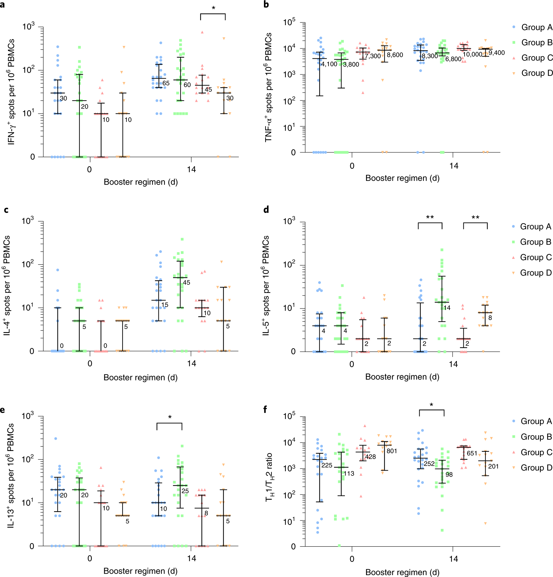
Fig. 4: SARS-CoV-2 spike-specific T cell cytokine responses before and after boosting.

TH1/TH2 ratios (f) were calculated by summing IFN-γ (a) and TNF-α (b) cytokine levels and then dividing by the sum of IL-4 (c), IL-5 (d) and IL-13 (e) cytokine levels. Data are the median (quartile 1, quartile 3) of positive spot counts per 106 PBMCs. Horizontal bars show the median, and error bars indicate IQR. Group A, primed with two doses of CoronaVac and given one dose of Convidecia (n = 24); group B, primed with two doses of CoronaVac and given one dose of CoronaVac (n = 25); group C, primed with one dose of CoronaVac and given one dose of Convidecia (n = 16); group D, primed with one dose of CoronaVac and given one dose of CoronaVac (n = 15). Cytokine-secreting T cells were background corrected for unstimulated cells, and values lower than 0 were considered negative. Samples of PBMCs were collected from the first 50 and 30 participants in the three-dose and two-dose regimen cohorts, respectively, and included in the analysis. Apparent discrepancies between the numbers of data points presented in the figures and the numbers of participants in the groups are due to overlapping dots. P values result from comparison between the two treatment groups using Wilcoxon rank-sum tests (group A versus group B and group C versus group D). No adjustments were made for multiple comparisons. *P < 0.05, **P < 0.005.