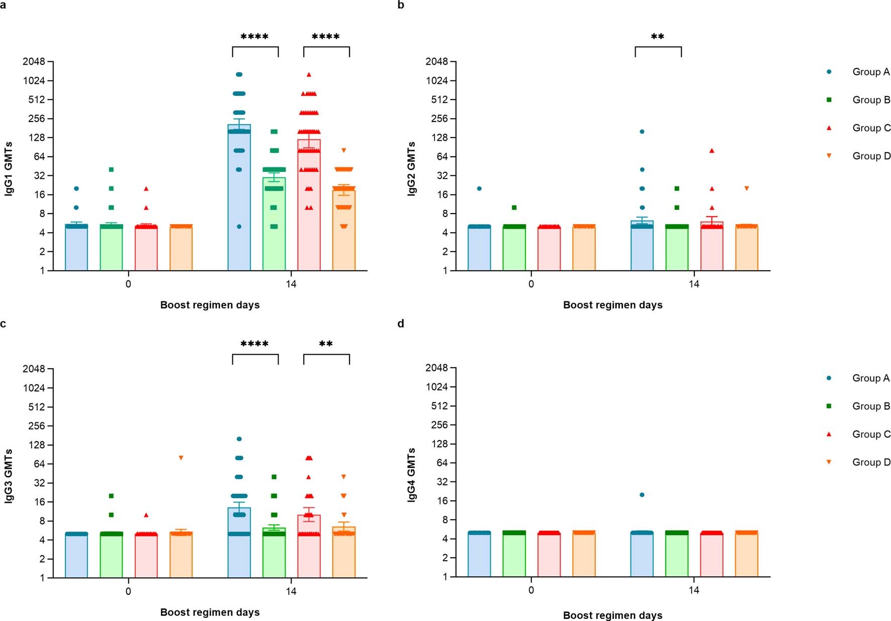
Extended Data Fig. 2: Receptor binding domain (RBD)-binding IgG isotypes before and after receiving a heterogeneous or homologous boost vaccine.

(a) GMTs of anti-RBD IgG1 isotypes, (b) IgG2 isotypes, (c) IgG3 isotypes and (d) IgG4 isotypes. Data are GMT (95% CI). Error bars indicate 95% CIs. Group A: primed with two doses of CoronaVac + Convidecia (n = 96); Group B: primed with two doses of CoronaVac + CoronaVac (n = 102); Group C: primed with one dose of CoronaVac + Convidecia (n = 51); Group D: primed with one dose of CoronaVac + CoronaVac (n = 50). The p values are the results of comparison between the two treatment groups using T test for log-transferred antibody titers (Group A vs. Group B, and Group C vs. Group D). All the paired data of RBD-binding antibodies from participants are included in the analysis. The discrepancies between the numbers of data points presented in the figures and the numbers of participants in the groups are due to the overlapping of the dots. **P value <0.01; ****P value <0.0001.