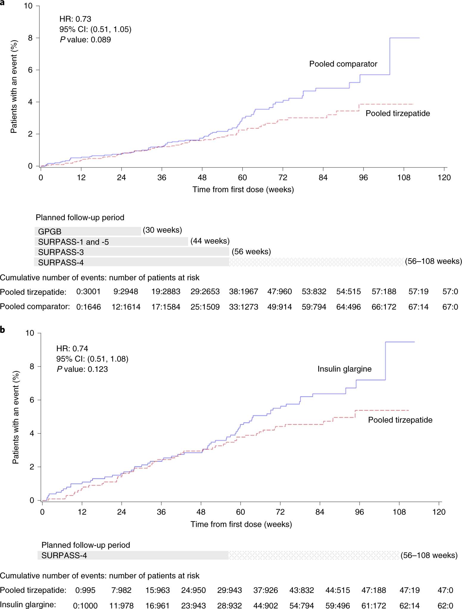
Fig. 3: Time to first occurrence of adjudication-confirmed MACE-4 by trial groupings.
From: Tirzepatide cardiovascular event risk assessment: a pre-specified meta-analysis

Adjusted Kaplan–Meier estimates. a, Time to first occurrence of composite MACE-4, pooled tirzepatide versus insulin glargine, insulin degludec and placebo combined and mITT population. Gray bars represent the planned follow-up period for trials GPGB (30 weeks); SURPASS-1 and SURPASS-5 (44 weeks); and SURPASS-3 (56 weeks). b, Time to first occurrence of adjudicated-confirmed MACE-4, pooled tirzepatide versus insulin glargine, SURPASS-4 only and mITT population. Gray bar represents the planned follow-up period for SURPASS-4 (56–108 weeks). Note: P values were based on the Wald chi-square test.